728x90
728x90

이제 특정 지점에 고정이 되거나, 고정 없이 움직이기, 그 봉 위에서도 상대적으로 움직이는 것 모두 해결했습니다.
회전이 들어가면 관성 Moment를 신경써야 한다!
I = Mass Moment of Inertia = 관성 모멘트!

Fr = mar = M = I alpha
alpha = a / r
mar = I * a / r => I = m r^2

Rigid, 부피, 회전 => 자세, 위치가 중요함
여기선 속이 빈 원통이다.

여기는 속이 찬 원뿔형태이다.






이거 외우는게 답인가 싶습니다....

결국 이러한 연산 때문에 막대기의 중앙에서 끝으로 옮기면 1/12 * M L^2 에 (L/2)^2 M이 더해져서 1/3 M L^2이 된다.


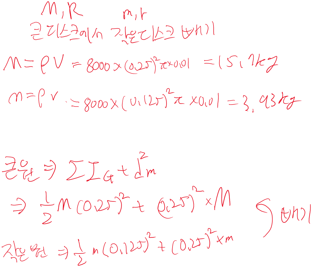
큰 원에서 작은 원을 빼면 완성이다.


각각의 무게 중심을 통해 전체 무게 중심을 구하고, 각각 I를 구해서 더해준다!

외우기!!

이것도!!

결국 이 기준을 무게 중심으로 맞추면 x,y들이 다 사라져 구하기 편하게 된다!


여기서도 이전에 풀었던 방식과 동일하게 풀면 된다



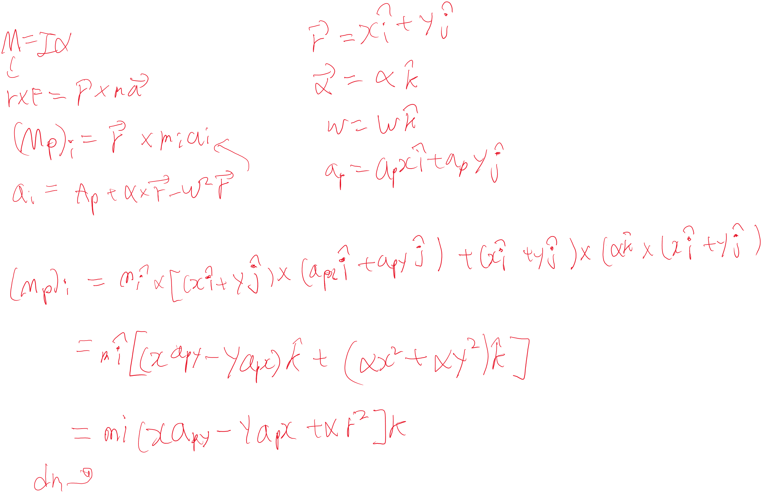
항상 회전이 없으면 M=0이므로 이 것을 통해서 잘 구하면 된다.


이런 문제에서 수레가 돌아가거나 날아가지 않는 이상 ay, M은 항상 0이므로 식만 잘 세워두면 쉽게 풀 수 있다.
728x90
'기타' 카테고리의 다른 글
| 동역학 14주차 (0) | 2024.12.08 |
|---|---|
| 동역학 13주차 정리 (1) | 2024.12.08 |
| AI for Global Climate Cooperation: Modeling Global Climate Negotiations, Agreements, and Long-Term Cooperation in RICE-N - 논문리 (2) | 2024.12.05 |
| 역사와 한국의 영토 12주차 - 한 일 관계 (0) | 2024.12.02 |
| 역사와 한국의 영토 11주차 - 강점기 이전의 독도 (1) | 2024.12.01 |