728x90
728x90
공부하면 공부할수록 왜 기계과를 하다가 코딩으로 넘어갔는지, 인공지능으로 넘어갔는지 잘 알것 같아요...
이번 시험만 끝나면 기계과랑은 안녕이니 이번까지만 파이팅..................




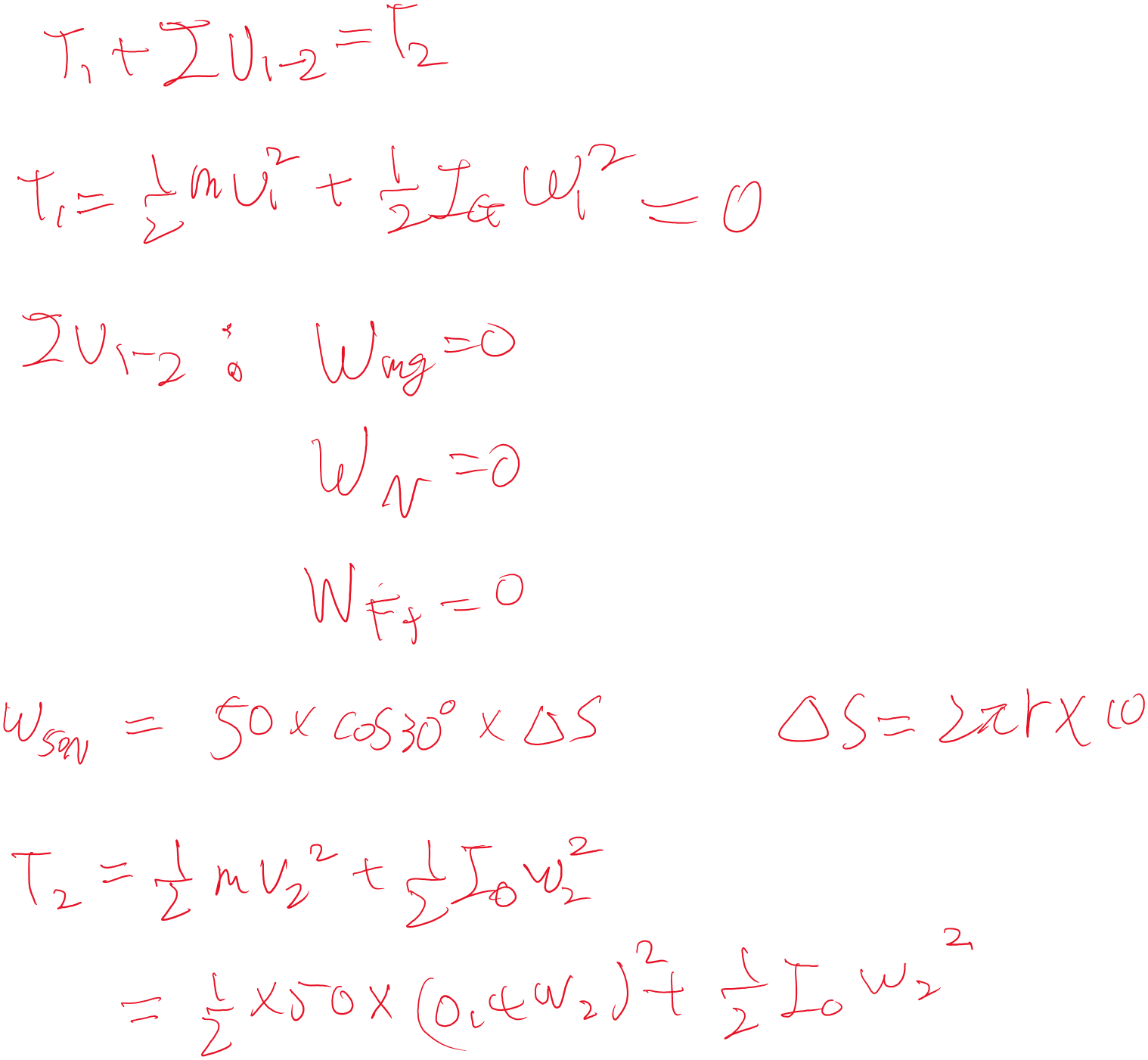
결국 이동거리 구해서 T2만 잘 구하면 답을 구해낼 수 있습니다.



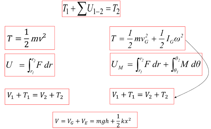
에너지 보존 법칙!






이젠 범위를 살짝 넘어간 것 같아서
나중에 한번 싹 정리하면서 다시 봐야할 것 같네요...
제 머리로는 이제 이해가 슬슬 가지 않길 시작...





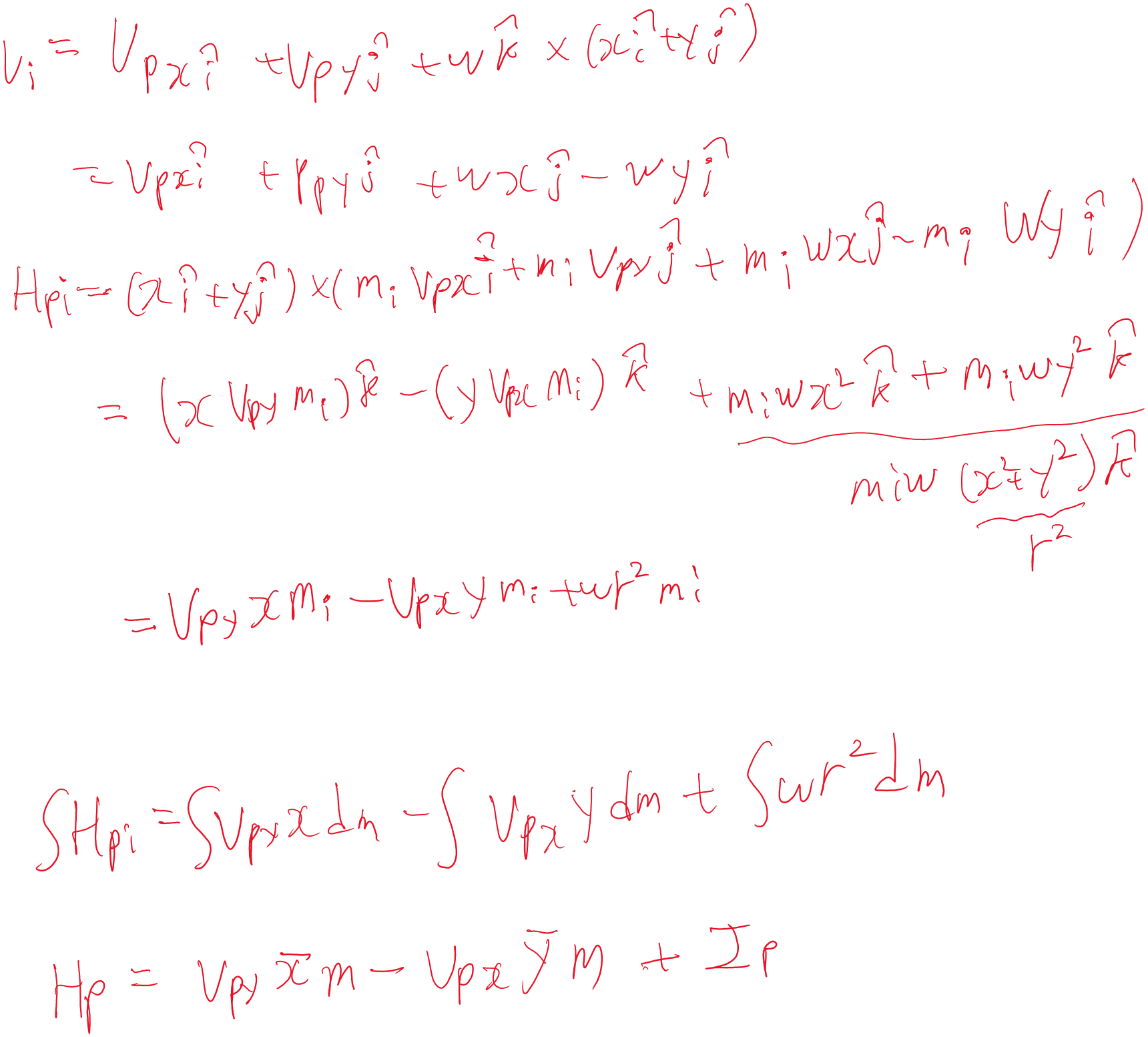
외부의 충격량엔 선형과 회전 모두가 있다!
각 운동량, 각충격량, 선형 운동량, 선형 충격량 모두 신경써야 한다.






728x90
'기타' 카테고리의 다른 글
| 협상 성과에 영향을 주는 협상기술에 관한 연구 - 논문 리뷰 (1) | 2024.12.10 |
|---|---|
| 협상 프로세스에 관한 연구 : 협상전술, 정보교환, 그리고 협상성과간의 관계 - 논문 리뷰 (1) | 2024.12.10 |
| 동역학 13주차 정리 (1) | 2024.12.08 |
| 동역학 12주차 정리 (0) | 2024.12.07 |
| AI for Global Climate Cooperation: Modeling Global Climate Negotiations, Agreements, and Long-Term Cooperation in RICE-N - 논문리 (2) | 2024.12.05 |