728x90
728x90





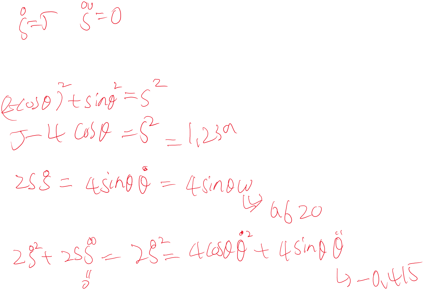
일단 조건들 다 적어놓고 천천히 미분하다 보면 풀리네요




주어진 식을 다 나열하여 식 하나를 만든 뒤 i,j 성분을 나눠서 식 2개를 만들어 풀면 끝이다.




결국 다 동일하다.
식을 미리 정하고, 그 식을 채워가면서 작성하면 끝이다.
연쇄적으로 다 풀리게 된다.

이 부분이 뭔가 계속 이해가 잘 안갔다...
첫 번째 사진에서 VA=0인 이유는 구름 조건(rolling without slipping) 때문입니다. 바퀴가 미끄러지지 않고 굴러가는 상황에서는 바퀴와 지면이 접촉하는 지점(A점)의 순간 속도는 항상 0이 됩니다. 이 이유는 다음과 같습니다:
- 구름 운동의 정의:
- 바퀴가 구를 때, 접촉 지점(A)은 순간적으로 지면과 정지 상태에 있습니다.
- 이는 바퀴가 회전하면서도 동시에 그 회전이 바퀴 중심의 직선 운동과 균형을 이루기 때문입니다.
- 속도의 상대적 관점:
- 접촉 지점(A)의 속도는 바퀴의 회전 운동과 평행 이동 운동이 합쳐져 결정됩니다.
- 회전에 의해 접촉 지점은 v⃗rot=−ωR 방향으로 움직이려 하지만, 바퀴 중심의 이동 속도 v⃗trans=ωR와 동일한 크기로 반대 방향으로 보상됩니다.
- 결과적으로, 이 두 속도가 합쳐지면서 접촉 지점(A)의 속도는 0이 됩니다.
- 즉각적인 정지점 (Instantaneous Center of Zero Velocity, IC):
지면과 바퀴가 접촉하는 점은 순간 정지점(IC)\text{순간 정지점(IC)}순간 정지점(IC) 역할을 하며, 이 점을 기준으로 바퀴가 회전합니다.
이 조건은 바퀴가 미끄러지지 않고 굴러가는 상황에서만 성립합니다. 만약 미끄럼(slipping)이 발생하면, 접촉 지점의 속도는 0이 아닐 수 있습니다.
즉 IC 지점에서 다른 지점까지는 거리에 비례해서 속도가 커집니다.








아는 조건부터 전부 채워넣고, 식을 통해 하나하나 완성해 나갑니다.
i, j, k 조심해서 작성하기!


좌표축을 어떻게 설정하냐에 따라 달라질 것 같기는 한데 여기선 그냥 잡았네요
저는 45도니까 그거에 맞게 했을 것 같기는 한디
728x90
'기타' 카테고리의 다른 글
| 면접 준비 - 컴퓨터 구조, 운영체제, 컴퓨터 네트워크 개념 (6) | 2024.11.22 |
|---|---|
| 동역학 11주차 정리 (0) | 2024.11.18 |
| 동역학 9주차 정리 (0) | 2024.11.17 |
| 학술제 준비 겸 자료 저장용 (0) | 2024.11.15 |
| 역사와 한국의 영토 10주차 - 독도 영유권 (2) | 2024.11.06 |