728x90
728x90
이제 여태 외우지 않았던 속도, 가속도 구하는 식도 다 외워야 합니다.


기어가 맞 물려서 돌아가는 구간에서 tangential 요소는 동일하지만 normal component는 동일하지 않습니다.


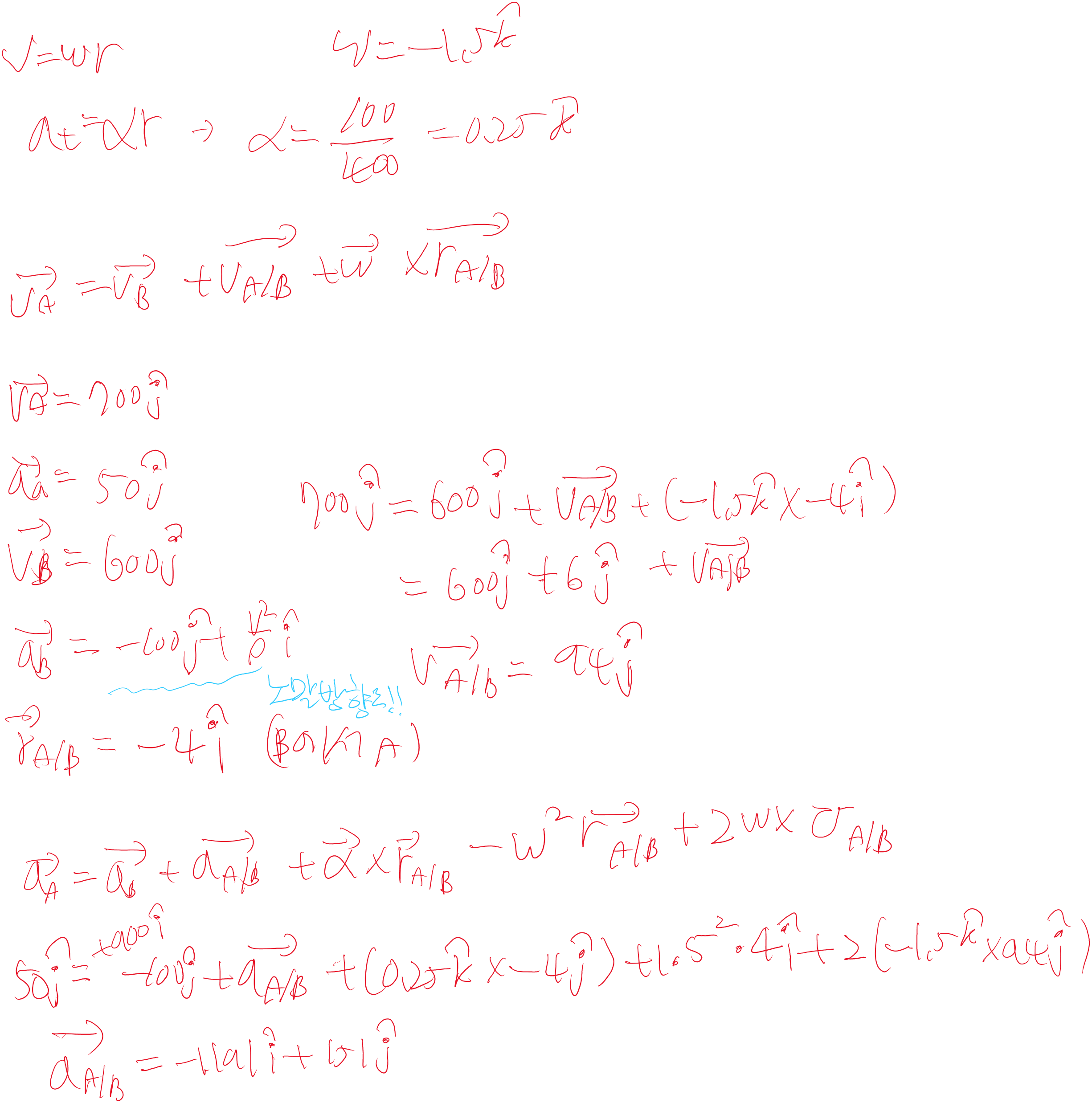
일단 아는 정보는 항상 전부 나열하고 시작하기!
A지점이니 그것을 이용해 G 지점의 가속도를 구하고, 이를 통해 B지점의 a를 구합니다.
그럼 전부 구할 수 있습니다.

여기는 또 암기인 것 같네요...


식은 이렇게 됩니다.

이 것을 잘 구분해야 합니다.




여기도 사용할 식을 다 적고, 주어진 것도 다 적고 시작합니다.
그럼 하나 하나 다 풀립니다.


여기선 막대기가 두개이므로 각 속도와 각 가속도를 알고, 고정되어 있는 축을 이용해 c에 대한 속도와 가속도를 구합니다.
그 이후 다 구했으면 D 지점을 통해 속도와 가속도 구하는 식을 다시 적용하여 구할 수 있습니다.


여기서 노말 방향을 잊으면 안된다. v^2 / rho


속도를 잘 나눠서 구해야 하는 걸로,...
식 자체는 그렇게 길지 않습니다.


결국 이 두 사진이 끝이네요
728x90
'기타' 카테고리의 다른 글
| ChatGPT로 면접 준비하기 (1) | 2024.11.23 |
|---|---|
| 면접 준비 - 컴퓨터 구조, 운영체제, 컴퓨터 네트워크 개념 (6) | 2024.11.22 |
| 동역학 10주차 정리 (1) | 2024.11.18 |
| 동역학 9주차 정리 (0) | 2024.11.17 |
| 학술제 준비 겸 자료 저장용 (0) | 2024.11.15 |