# Neural Language Modeling
#네이버 영화 댓글 데이터를 이용해 Neural language model을 구현해보고, 구현한 Neural language model로 댓글 생성을 해본다.
from google.colab import drive
drive.mount('/content/drive')
base_path = "./drive/MyDrive/fastcampus/practice"
import pandas as pd
df = pd.read_csv(f"{base_path}/data/nsmc/ratings_train.txt", sep='\t')
# pos, neg 비율
df['label'].value_counts()
0 75173
1 74827
Name: label, dtype: int64
## Missing 데이터 확인
# missing doc
sum(df['document'].isnull()) # 5
df = df[~df['document'].isnull()]
sum(df['document'].isnull()) # 0
이번엔 캐릭터 단위 토큰화!
# Tokenization
list("안녕하세요 반갑습니다")
['안', '녕', '하', '세', '요', ' ', '반', '갑', '습', '니', '다']
# tokenization
vocab_cnt_dict = {}
for doc in df['document']:
for token in list(doc): # 음절 단위로 쪼개기
if token not in vocab_cnt_dict:
vocab_cnt_dict[token] = 0
vocab_cnt_dict[token] += 1
vocab_cnt_list = [(token, cnt) for token, cnt in vocab_cnt_dict.items()]
vocab_cnt_list[:10]
[('아', 47071),
(' ', 987741),
('더', 9863),
('빙', 738),
('.', 241461),
('진', 18522),
('짜', 11514),
('증', 2160),
('나', 42976),
('네', 18756)]
len(vocab_cnt_list) # 3004개다. 4만여개 토큰보다 훨씬 적다!
top_vocabs = sorted(vocab_cnt_list, key=lambda tup:tup[1], reverse=True)
import matplotlib.pyplot as plt
import numpy as np
cnts = [cnt for _, cnt in top_vocabs]
plt.plot(range(len(cnts)), cnts)

np.mean(cnts) # 1757.82
vocabs = [token for token, _ in vocab_cnt_list] # 모든 음절을 다 사용한다!
len(vocabs) # 3004
## Special token들 추가
- UNK token은 Unknown token
- PAD token은 Padding을 위한 token
- SOS token start of sentence token, 문장 시작에 위치함
- EOS token end of sentence token, 문장의 끝에 위치함
unk_token = '[UNK]'
unk_token in vocabs # false
pad_token = '[PAD]'
pad_token in vocabs
sos_token = '[SOS]'
sos_token in vocabs
eos_token = '[EOS]'
eos_token in vocabs
vocabs.insert(0, eos_token)
vocabs.insert(0, sos_token)
vocabs.insert(0, unk_token)
vocabs.insert(0, pad_token)
vocabs[:5]
['[PAD]', '[UNK]', '[SOS]', '[EOS]', '아']
idx_to_token = vocabs
token_to_idx = {token: i for i, token in enumerate(idx_to_token)}
class Tokenizer:
def __init__(self,
vocabs,
use_padding=True,
max_padding=64,
pad_token='[PAD]',
unk_token='[UNK]',
sos_token='[SOS]',
eos_token='[EOS]'):
self.idx_to_token = vocabs
self.token_to_idx = {token: i for i, token in enumerate(self.idx_to_token)}
self.use_padding = use_padding
self.max_padding = max_padding
self.pad_token = pad_token
self.unk_token = unk_token
self.sos_token = sos_token
self.eos_token = eos_token
self.unk_token_idx = self.token_to_idx[self.unk_token]
self.pad_token_idx = self.token_to_idx[self.pad_token]
self.sos_token_idx = self.token_to_idx[self.sos_token]
self.eos_token_idx = self.token_to_idx[self.eos_token]
def __call__(self, x):
token_ids = [self.sos_token_idx] # 맨 처음에 sos를 넣어준다.
token_list = list(x)
for token in token_list:
if token in self.token_to_idx:
token_idx = self.token_to_idx[token]
else:
token_idx = self.unk_token_idx
token_ids.append(token_idx)
token_ids.append(self.eos_token_idx)
if self.use_padding:
token_ids.pop() # remove eos token
token_ids = token_ids[:self.max_padding-1]
n_pads = self.max_padding - len(token_ids) - 1
token_ids = token_ids + [self.eos_token_idx] +[self.pad_token_idx] * n_pads # EOS도 넣어준다.
return token_ids
def cvt_ids_to_tokens(self, ids): # 토큰 id를 받으면 토큰 리스트 들을 반환해준다.
return [self.idx_to_token[idx] for idx in ids]
def cvt_ids_to_str(self, ids): # 토큰 id를 string으로 변환.
return ''.join([self.idx_to_token[idx] for idx in ids]) # 모든 음절을 이어붙여준다.
tokenizer = Tokenizer(vocabs, use_padding=False)
sample = df['document'].iloc[0]
print(sample)
아 더빙.. 진짜 짜증나네요 목소리
tokenizer(sample)
[2, 4, 5, 6, 7, 8, 8, 5, 9, 10, 5, 10, 11, 12, 13, 14, 5, 15, 16, 17, 3]
tokenizer.cvt_ids_to_str(tokenizer(sample))
'[SOS]아 더빙.. 진짜 짜증나네요 목소리[EOS]'
# DataLoader
import torch
from torch.utils.data import Dataset, DataLoader
# Split data into train, valid, testset
train_valid_df = pd.read_csv(f"{base_path}/data/nsmc/ratings_train.txt", sep='\t')
test_df = pd.read_csv(f"{base_path}/data/nsmc/ratings_test.txt", sep='\t')
print(f"# of train valid samples: {len(train_valid_df)}")
print(f"# of test samples: {len(test_df)}")
# of train valid samples: 150000
# of test samples: 50000
train_valid_df = train_valid_df.sample(frac=1.)
train_ratio = 0.8
n_train = int(len(train_valid_df) * train_ratio)
train_df = train_valid_df[:n_train]
valid_df = train_valid_df[n_train:]
print(f"# of train samples: {len(train_df)}")
print(f"# of valid samples: {len(valid_df)}")
print(f"# of test samples: {len(test_df)}")
# of train samples: 120000
# of valid samples: 30000
# of test samples: 50000
# 1/100으로 샘플링
train_df = train_df.sample(frac=0.01)
valid_df = valid_df.sample(frac=0.01)
test_df = test_df.sample(frac=0.01)
len(train_df) # 1200
class NSMCDataset(Dataset):
def __init__(self, data_df, tokenizer=None):
self.data_df = data_df
self.tokenizer = tokenizer
def __len__(self):
return len(self.data_df)
def __getitem__(self, idx):
sample_raw = self.data_df.iloc[idx]
sample = {}
sample['doc'] = str(sample_raw['document'])
if self.tokenizer is not None:
sample['doc_ids'] = self.tokenizer(sample['doc']) # 레이블이 없어지게 된다.
return sample
def collate_fn(batch):
keys = [key for key in batch[0].keys()]
data = {key: [] for key in keys}
for item in batch:
for key in keys:
data[key].append(item[key])
return data
train_dataset = NSMCDataset(data_df=train_df, tokenizer=tokenizer)
valid_dataset = NSMCDataset(data_df=valid_df, tokenizer=tokenizer)
test_dataset = NSMCDataset(data_df=test_df, tokenizer=tokenizer)
# 학습 데이터셋은 shuffle을 해줘야함
train_dataloader= DataLoader(train_dataset,
batch_size=128,
collate_fn=collate_fn,
shuffle=True)
valid_dataloader= DataLoader(valid_dataset,
batch_size=1024,
collate_fn=collate_fn,
shuffle=False)
test_dataloader= DataLoader(test_dataset,
batch_size=1024,
collate_fn=collate_fn,
shuffle=False)
sample = next(iter(test_dataloader))
# AutoregressiveSelfAttention model
import math
import torch
import torch.nn as nn
import torch.nn.functional as F
class AutoregressiveSelfAttention(nn.Module):
def __init__(self,
vocab_size,
embed_dim):
"""
Args:
vocab_size (int): size of vocabulary.
embed_dim (int): dimension of embedding.
"""
super().__init__()
self.vocab_size = vocab_size
self.embed_dim = embed_dim
self.output_dim = embed_dim
self.embeddings = nn.Embedding(vocab_size, embed_dim, padding_idx=0)
self.q_linear = nn.Linear(embed_dim, embed_dim)
self.k_linear = nn.Linear(embed_dim, embed_dim)
self.v_linear = nn.Linear(embed_dim, embed_dim)
def forward(self, X, return_attention_score=False):
"""Feed-forward CNN.
Args:
X (torch.Tensor): inputs, shape of (batch_size, sequence).
Returns:
torch.tensor, Sentence representation.
"""
batch_size, seq_len = X.size()
X = self.embeddings(X) # batch size x seq_len x embed_dim
q, k, v = self.q_linear(X), self.k_linear(X), self.v_linear(X) # batch_size x seq_len x dim
attention_score_raw = q @ k.transpose(-2,-1) / math.sqrt(self.embed_dim) # batch_size x seq_len x seq_len
mask = torch.tril(torch.ones(seq_len,seq_len, device=X.device)) # seq_len x seq_len
# 마스크 사용!
attention_score_raw = attention_score_raw.masked_fill(mask==0.,-9e9)
attention_score = torch.softmax(attention_score_raw, dim=2) # batch_size x seq_len x seq_len
context = attention_score @ v # batch_size x seq_len x dim
if return_attention_score:
return context, attention_score
return context

seq_len=3
torch.ones(seq_len,seq_len)
tensor([[1., 1., 1.],
[1., 1., 1.],
[1., 1., 1.]])
mask = torch.tril(torch.ones(seq_len,seq_len)) # 대각선 부분 윗 부분을 0으로 만든다!
mask
tensor([[1., 0., 0.],
[1., 1., 0.],
[1., 1., 1.]])
x = torch.randn(2, 3,3)
x
tensor([[[-1.2015, 0.3968, -0.8582],
[ 0.1763, -0.9854, 2.7532],
[-0.3871, 0.0410, -0.6848]],
[[ 0.3722, 0.0104, -0.6333],
[ 0.2610, -1.3882, -1.2030],
[-0.7213, -1.3855, -1.4519]]])
x.masked_fill(mask==0, -9e-9) # 0인 위치에 -9e-9를 넣어라
tensor([[[-8.9851e-01, -9.0000e-09, -9.0000e-09],
[ 4.9847e-01, -1.5322e+00, -9.0000e-09],
[-4.2938e-01, 3.1852e-01, 1.2727e-01]],
[[ 5.4362e-01, -9.0000e-09, -9.0000e-09],
[ 3.5968e-01, -2.2000e-01, -9.0000e-09],
[ 6.5648e-01, -3.5736e-01, 7.7671e-01]]])
torch.softmax(x.masked_fill(mask==0, -9e9), dim=2)# 마스크 된것을 soft max하면 0이 나온다.
tensor([[[1.0000, 0.0000, 0.0000],
[0.8840, 0.1160, 0.0000],
[0.2059, 0.4349, 0.3592]],
[[1.0000, 0.0000, 0.0000],
[0.6410, 0.3590, 0.0000],
[0.4015, 0.1457, 0.4528]]])
class Classifier(nn.Module):
"""A classifier, arbitary graph, on the top of sentence representation.
Attributes:
sr_model: A sentence representation module.
input_dim: Input dimension of the classifier. Input_dim is set with sr_model output.
output_dim: Output dimension of the model.
"""
def __init__(self, sr_model, output_dim, vocab_size, embed_dim, **kwargs):
"""Initialization of the classifier.
Args:
sr_model (torch.nn.Module): A sentence representation module.
output_dim (int): Output dimension of the model.
vocab_size (int): The size of vocabulary.
embed_dim (int): The word embedding dimension.
"""
super().__init__()
self.sr_model = sr_model(vocab_size=vocab_size,
embed_dim=embed_dim,
**kwargs)
self.input_dim = self.sr_model.output_dim
self.output_dim = output_dim
self.fc = nn.Linear(self.input_dim, self.output_dim)
def forward(self, x):
return self.fc(self.sr_model(x))
model = Classifier(sr_model=AutoregressiveSelfAttention,
output_dim=len(vocabs),
vocab_size=len(vocabs),
embed_dim=128)
# nn.Embedding(vocab_size, embed_dim, padding_idx=0)
# padding_idx를 설정해놓으면,
# padding_idx의 embedding은 0으로 초기화
# padding index의 embedding은 gradient 계산을 하지 않음, 즉 padding embedding은 업데이트 되지 않음
model.sr_model.embeddings.weight[0]
tensor([0., 0., 0., 0., 0., 0., 0., 0., 0., 0., 0., 0., 0., 0., 0., 0., 0., 0., 0., 0., 0., 0., 0., 0.,
0., 0., 0., 0., 0., 0., 0., 0., 0., 0., 0., 0., 0., 0., 0., 0., 0., 0., 0., 0., 0., 0., 0., 0.,
0., 0., 0., 0., 0., 0., 0., 0., 0., 0., 0., 0., 0., 0., 0., 0., 0., 0., 0., 0., 0., 0., 0., 0.,
0., 0., 0., 0., 0., 0., 0., 0., 0., 0., 0., 0., 0., 0., 0., 0., 0., 0., 0., 0., 0., 0., 0., 0.,
0., 0., 0., 0., 0., 0., 0., 0., 0., 0., 0., 0., 0., 0., 0., 0., 0., 0., 0., 0., 0., 0., 0., 0.,
0., 0., 0., 0., 0., 0., 0., 0.], grad_fn=<SelectBackward0>)
# Training
use_cuda = True and torch.cuda.is_available()
if use_cuda:
model.cuda()
print(f"use_cuda: {use_cuda}")
import torch.optim as optim
import numpy as np
from copy import deepcopy
optimizer = optim.Adam(params=model.parameters(), lr=0.01)
calc_loss = nn.CrossEntropyLoss(ignore_index=0) # 패딩 토큰에 대한 로스는 계산 X -> EOS를 발견하면 그 이후는 계산하지 않아도 됨
tokenizer.use_padding = True
n_epoch = 100
global_i = 0
valid_loss_history = [] # [(global_i, valid_loss), ...]
train_loss_history = [] # [(global_i, train_loss), ...]
min_valid_loss = 9e+9
best_model = None
best_epoch_i = None
ema_train_loss = None
for epoch_i in range(n_epoch):
model.train()
for batch in train_dataloader:
optimizer.zero_grad()
x = torch.tensor(batch['doc_ids'])
if use_cuda:
x = x.cuda()
y_pred = model(x[:, :-1]) # 마지막 요소는 빼고 넣는다.
loss = calc_loss(y_pred.view(-1, len(vocabs)), x[:, 1:].flatten()) # 첫번째 토큰을 제외하고 예측
if global_i % 100 == 0:
print(f"global_i: {global_i}, epoch_i: {epoch_i}, loss: {loss.item()}")
train_loss_history.append((global_i, loss.item()))
loss.backward()
optimizer.step()
global_i += 1
model.eval()
# validation
valid_loss_list = []
for batch in valid_dataloader:
x = torch.tensor(batch['doc_ids'])
if use_cuda:
x = x.cuda()
y_pred = model(x[:, :-1])
loss = calc_loss(y_pred.view(-1, len(vocabs)), x[:, 1:].flatten())
valid_loss_list.append(loss.item())
valid_loss_mean = np.mean(valid_loss_list)
valid_loss_history.append((global_i, valid_loss_mean.item()))
if valid_loss_mean < min_valid_loss:
min_valid_loss = valid_loss_mean
best_epoch_i = epoch_i
best_model = deepcopy(model)
if epoch_i % 5 == 0:
print("*"*30)
print(f"valid_loss_mean: {valid_loss_mean}")
print("*"*30)
print(f"best_epoch_i: {best_epoch_i}")
global_i: 0, epoch_i: 0, loss: 8.03954029083252
******************************
valid_loss_mean: 5.246993064880371
******************************
******************************
valid_loss_mean: 4.586403846740723
******************************
******************************
valid_loss_mean: 4.434481143951416
******************************
******************************
valid_loss_mean: 4.4632792472839355
******************************
******************************
valid_loss_mean: 4.568708419799805
******************************
******************************
valid_loss_mean: 4.708747863769531
******************************
******************************
valid_loss_mean: 4.889769554138184
******************************
******************************
valid_loss_mean: 5.009775638580322
******************************
...
******************************
valid_loss_mean: 6.882125377655029
******************************
best_epoch_i: 11
Output is truncated. View as a scrollable element or open in a text editor. Adjust cell output settings...
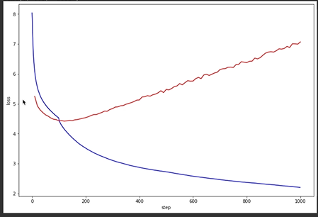
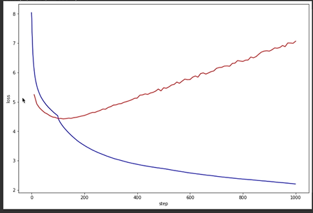
# Learning Curve
def calc_moving_average(arr, win_size=100):
new_arr = []
win = []
for i, val in enumerate(arr):
win.append(val)
if len(win) > win_size:
win.pop(0)
new_arr.append(np.mean(win))
return np.array(new_arr)
valid_loss_history = np.array(valid_loss_history)
train_loss_history = np.array(train_loss_history)
plt.figure(figsize=(12,8))
plt.plot(train_loss_history[:,0],
calc_moving_average(train_loss_history[:,1]), color='blue')
plt.plot(valid_loss_history[:,0],
valid_loss_history[:,1], color='red')
plt.xlabel("step")
plt.ylabel("loss")


SOS를 넣으면 '오늘'을 가져온다.
오늘을 넣으면 '날씨'를 가져오고, 확률을 가져온 뒤 채워넣기!
마지막도 어때를 똑같이 가져와서 확률에 집어 넣으면 계산 가능하다!
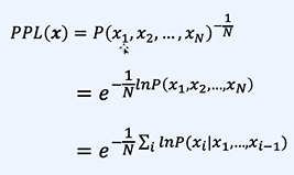
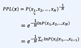
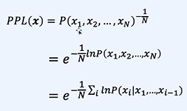
# 문장 확률 계산하기
tokenizer.use_padding = False
def calc_sentence_prob(model, text):
token_ids = torch.tensor(tokenizer(text)) # 토큰화하기
if use_cuda:
token_ids = token_ids.cuda()
token_ids = token_ids.unsqueeze(0) # 1 x seq_len
outputs = model(token_ids) # 1 x seq_len x vocab_size
token_probs = torch.softmax(outputs, dim=2) # 1 x seq_len x vocab_size 확률이 나온다.
# lookup token probs
lookup_ids = token_ids[:, 1:] # SOS이 후 토큰을 가져온다.
probs_lookup = token_probs[:, :-1].gather(dim=2, index=lookup_ids.unsqueeze(2)).squeeze(2).detach().cpu().numpy()
pr = probs_lookup.squeeze()
ppl = -1. * np.sum(np.log(pr)) / len(pr)
return pr, ppl
text = "마지막까지 개그하는 노잼 ㅋㅋ"
prob, ppl = calc_sentence_prob(model, text=text)
print(prob)
[6.0295984e-03 4.3006858e-01 3.8277218e-01 7.4049416e-07 6.0803515e-01
1.9908132e-01 4.5632324e-04 1.5078409e-02 2.1003368e-06 2.5298268e-01
4.7019348e-01 1.1000846e-04 4.7953269e-01 5.8012754e-01 3.3334929e-02
8.6858481e-01 6.8226300e-02]
m = 1
for p in prob:
m *= p
print(m)
9.246196067501022e-30
실제 확률이다. 굉장히 작은 값이다.
토큰이 매우 많기 때문에 1이하의 소수값을 계속 곱하게 되면 작아지게 된다.


text = "마지막까지 개그하는 노잼 ㅋㅋ"
prob, ppl = calc_sentence_prob(model, text=text)
print(text)
print(ppl)
마지막까지 개그하는 노잼 ㅋㅋ
3.9325489717371322

SOS를 넣은 뒤 계쏙 높은 확률을 가져오기
# 문장 생성하기
eos_token_id = token_to_idx[eos_token]
tokenizer.use_padding = False
def generate(model, seed_text, max_iter=10):
token_ids = tokenizer(seed_text)
token_ids = torch.tensor(token_ids[:-1]).unsqueeze(0) # 1 x seq_len
if use_cuda:
token_ids = token_ids.cuda()
for _ in range(max_iter): # 최대 길이 정하기
outputs = model(token_ids)
last_output_token_probs = outputs[:, -1] # 1 x vocab_size
last_output_token = last_output_token_probs.argmax(dim=1) # 1 가장 확률 높은 것 고르기
if last_output_token.squeeze().item() == eos_token_id: # EOS만나기 전까지 반복
break
token_ids = torch.concat([token_ids, last_output_token.view(1,-1)], dim=1) # 이어 붙이기
text = tokenizer.cvt_ids_to_str(token_ids.flatten().detach().cpu().tolist())
return text
generate(model, seed_text="평점", max_iter=10)
'[SOS]평점이 너무 낮아니야.'



파라미터를 늘리고, 기법을 늘리면 더 늘어난다!
'인공지능 > 자연어 처리' 카테고리의 다른 글
| 자연어 처리 살펴보기 - 다양한 자연어 처리 Task 소개 (1) | 2024.03.02 |
|---|---|
| 자연어 처리 살펴보기 - 개요 (0) | 2024.03.02 |
| 자연어 처리 python 실습 - N gram language model (0) | 2024.03.01 |
| 자연어 처리 python - 최신 Language model들과 활용법 (0) | 2024.03.01 |
| 자연어 처리 python - skip thought vector (0) | 2024.03.01 |