728x90
728x90



중력을 신경쓰고, norm 방향 가속도를 구해서 장력을 구할 수 있다.

항상 잘 외우기!!
theta는 항상 시계 반대 방향이다.
theta, r 이 t에 관한 식이 아니라 서로 관련된 식이면 체인룰을 잘 쓰자!
tangengial 방향은 항상 진행방향이다!





여기선 바닥과 수직이므로 중력을 고려해야 한다!



여긴 수평하니 중력은 무시하고 주어진 식 그대로 풀면 된다!

주어진 식이 있으니 전 theta랑 r부터 다 구하고 그림을 그리는게 편하더라고여


중력 꼭 신경써주고, 각도 신경쓰기!



14강 Kinematucs of a Particle : Work and Energy (질점의 동역학 : 일과 에너지)
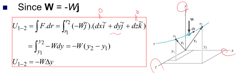
일은 힘 * 거리!


수직한 방향의 일은 0이다!




일을 한 대상에 대해 생각하기!

이 부분이 살짝 애매한데 이건 좀만 나중에 다시 정리해야겠네유









처음 속도를 통해 T1을 구하고, 중력에 대한 힘, 마찰력에 대한 힘을 통해 T2=0을 구하면 거리를 구할 수 있다.


728x90
'기타' 카테고리의 다른 글
| 한국 역사와 영토 2주차 정리 및 퀴즈 (1) | 2024.10.13 |
|---|---|
| 역사와 한국의 영토 1주차 정리 및 퀴즈 (1) | 2024.10.13 |
| 한국 역사와 영토 7주차 - 일제 강점기 말, 일본의 항복 이후 독도 (3) | 2024.10.09 |
| 한국 역사와 영토 6주차 - 임시 정부와 독립군 (0) | 2024.10.07 |
| 한국 역사와 영토 5주차 - 일제의 탄압 (1) | 2024.10.06 |