728x90
728x90
일단 주어진 코드입니다.
import random
import numpy as np
class GridWorld():
def __init__(self):
self.x=0
self.y=0
def step(self, a):
if a == 0:
self.move_left()
elif a == 1:
self.move_up()
elif a == 2:
self.move_right()
elif a == 3:
self.move_down()
reward = -1
done = self.is_done()
return (self.x, self.y), reward, done
def move_right(self):
self.y += 1
if self.y > 3:
self.y = 3
def move_left(self):
self.y -= 1
if self.y < 0:
self.y = 0
def move_up(self):
self.x -= 1
if self.x < 0:
self.x = 0
def move_down(self):
self.x += 1
if self.x > 3:
self.x = 3
def is_done(self):
if self.x == 3 and self.y == 3:
return True
else :
return False
def get_state(self):
return (self.x, self.y)
def reset(self):
self.x = 0
self.y = 0
return (self.x, self.y)
class Agent():
def __init__(self):
pass
def select_action(self):
coin = random.random()
if coin < 0.25:
action = 0
elif coin < 0.5:
action = 1
elif coin < 0.75:
action = 2
else :
action = 3
return action
def main():
#TD
env = GridWorld()
agent = Agent()
data = [[0,0,0,0],[0,0,0,0],[0,0,0,0],[0,0,0,0]]
gamma = 1.0
reward = -1
alpha = 0.01
for k in range(50000):
done = False
while not done:
x, y = env.get_state()
action = agent.select_action()
(x_prime, y_prime), reward, done = env.step(action)
data[x][y] = data[x][y] + alpha*(reward+gamma*data[x_prime][y_prime]-data[x][y])
env.reset()
for row in data:
print(row)
if __name__== '__main__':
main()
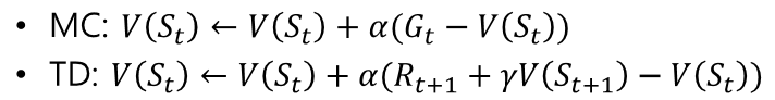
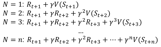
TD 식



def main():
#TD
env = GridWorld()
agent = Agent()
data = [[0,0,0,0],[0,0,0,0],[0,0,0,0],[0,0,0,0]]
gamma = 1.0
reward = -1
alpha = 0.01
n = 8
for k in range(30000):
done = False
x_primes = []
y_primes = []
rewards = []
dones = []
x_primes.append(0) # t
y_primes.append(0) # t
for i in range(n): # t+1 ~ t+n
action = agent.select_action()
(x_prime, y_prime), reward, done = env.step(action)
x_primes.append(x_prime)
y_primes.append(y_prime)
dones.append(done)
if done :
rewards.append(0)
break
rewards.append(reward)
done = False
while not done:
step =data[x_primes[-1]][y_primes[-1]] # v(S t+n)
for i in rewards[::-1]:# t+n ~ t+1
step = step * gamma + i
#(x_primes,y_primes,rewards, dones,step) # t위치
x= x_primes.pop(0)#t
y= y_primes.pop(0)#t
data[x][y] = data[x][y] + alpha*(step-data[x][y]) # step - v(S t)
action = agent.select_action()
(x_prime, y_prime), reward, done = env.step(action)
if dones[-1] == False:
x_primes.append(x_prime)
y_primes.append(y_prime)
rewards.append(reward)
dones.append(done)
reward = rewards.pop(0)
done = dones.pop(0)
env.reset()
for row in data:
print(row)
이게 맞는거 같은데 살려주세요 ㅎㅎ,...
728x90
'인공지능 > 공부' 카테고리의 다른 글
| 인공지능과 빅데이터 5주차 1차시 - 비지도 학습 및 강화 학습 개요 (0) | 2024.04.01 |
|---|---|
| 딥러닝 개요 복습 2 (0) | 2024.03.28 |
| 강화 학습 복습 2 (0) | 2024.03.27 |
| 생성형 인공지능 퀴즈 4 (3) | 2024.03.27 |
| 생성형 인공지능 4주차 Transformer 5차시 - Transformer 동작 원리 (0) | 2024.03.27 |