https://arxiv.org/abs/2411.16724
Devils in Middle Layers of Large Vision-Language Models: Interpreting, Detecting and Mitigating Object Hallucinations via Attent
Hallucinations in Large Vision-Language Models (LVLMs) significantly undermine their reliability, motivating researchers to explore the causes of hallucination. However, most studies primarily focus on the language aspect rather than the visual. In this pa
arxiv.org
논문 리뷰를 작성해야 할 때가 왔네요...
기존 연구들 중에서는 LLM의 Hallucination을 해결 혹은 원인을 파악하려는 연구는 있었지만 VLLM에서 Visual 적 Halluci 판단은 없기에 그에 대한 Hallucination을 판단 및 해결해 보려고 했습니다.
VLLM의 Hallucination 문제를 수학적으로 모델 내부 망을 통해 확인하려고 했습니다.

Halluci가 생기는 모습을 Figure를 통해 그대로 확인할 수 있습니다.

Visual Attention Ratio를 통해 토큰의 기여 정도를 알 수 있습니다.

여기서 각 모델마다 Halluci와 Real의 값 차이가 크다는 문제점이 살짝 있네여
낮은 Layer에선 시각적 정보를 처리하고 있어, 19Layer부터 시각적 정보를 통한 언어적 토큰 생성에 높은 Logit을 가진 것을 볼 수 있습니다.

초반 레이어는 시각적 정보를 강화하고, 그 이후부턴 의미적 Refine을 통해 시각 정보를 활용해 토큰 예측을 추론한다.

초기 Layer에서 Attention Score가 낮을 수록 높은 Hallucination 비율을 볼 수 있습니다.

5~18 Layer를 확인하는 것을 볼 수 있습니다.
LLava 1.5 7B와 13B 모두 Real 의 점수가 Halluci보다 높은 것을 알 수 있다.
Figure 6를 확인해보면 기존 방식보다 높은 Halluci 탐지 율을 보여준다.


환각을 줄인 것을 볼 수 있다.

여기서 레이어에 따른 환각의 편차를 확실하게 볼 수 있다.
| 연구 목표 | 1. LVLMs에서 객체 환각(Object Hallucination)이 발생하는 원인 분석 2. 객체 환각을 효과적으로 탐지하는 새로운 방법 개발 3. 추론(Inference) 단계에서 환각을 완화하는 방법 제안 (추가 학습 불필요) |
| 기존 연구와 차이점 | - 기존 연구는 언어적 편향(Language Bias)에 초점을 맞추었으나, 본 연구는 시각 정보 처리 과정에서 발생하는 문제를 분석 - 기존 방법들은 Fine-Tuning 또는 Contrastive Decoding을 활용하여 연산 비용이 컸음 - 본 연구는 Attention Score 조정만으로 학습 없이 환각을 완화하는 방법을 제안 |
| 객체 환각의 원인 | - LVLMs의 중간 계층(Middle Layers, 5~26층)에서 시각 정보가 혼합되는 과정에서 환각 발생 - 특히, 5~18층(시각 정보 강화 단계)에서 다양한 객체 정보가 혼합되어 잘못된 객체가 생성됨 |
| 분석 방법 | - Attention Lens 기법을 활용하여 LVLMs의 Attention Map을 분석 - Logit Lens 기법을 활용하여 각 층에서 이미지 토큰이 어떻게 변환되는지 분석 - 실험 결과, 중간 계층이 시각 정보 처리를 담당하며, 이 과정에서 객체 환각이 발생함을 규명 |
| 객체 환각 탐지 방법 | - Visual Attention Ratio (VAR) 지표 도입 → 객체 토큰이 이미지 토큰과 얼마나 강하게 연결되는지 측정 - Summed Visual Attention Ratio (SVAR) 지표 개발 → 중간 계층(5~18층)에서 VAR을 누적하여 객체 환각 여부 판단 - 실험 결과, 기존 탐지 방법(Internal Confidence) 대비 8~10% 높은 탐지 성능 |
| 객체 환각 완화 방법 | - 추론(Inference) 시 Attention Score 조정 → Multi-Head Attention에서 여러 Head의 정보를 평균 내어 올바른 객체 정보가 유지되도록 조정 - 기존 방법(Fine-Tuning, Contrastive Decoding)과 달리 추가 학습이 필요 없음 |
| 실험 및 성능 평가 | - CHAIR 데이터셋을 활용하여 환각 완화 성능 평가 - 기존 방법 대비 평균 환각 비율 19.5% 감소, CHAIR (CI) 점수 5.7% 개선 - LLaVA-1.5, Shikra, MiniGPT-4 등 여러 LVLMs에서 실험하여 일반화 성능 검증 |
| 비교 분석 (CHAIR 지표) | (CS ↓, CI ↓, F1 ↑) - Greedy Decoding: 53.0 / 15.6 / 76.7 - PAI (Contrastive Decoding): 24.2 / 7.1 / 75.2 - Ours (Attention Score 조정): 25.0 / 6.7 / 76.1 (기존 방식 대비 성능 향상) |
| 연구 기여 (Key Contributions) | ✅ LVLMs의 중간 계층에서 환각이 발생하는 메커니즘을 최초로 규명 ✅ 새로운 환각 탐지 방법(SVAR) 개발 → 기존 대비 8~10% 높은 탐지 성능 ✅ 추론 시 Attention Score 조정만으로 추가 학습 없이 환각 완화 가능 ✅ LLaVA, Shikra, MiniGPT-4 등 다양한 LVLMs에서 일반화 성능 검증 |
| 한계점 및 향후 연구 방향 | - SVAR 탐지 방식의 한계: 특정 LVLMs(Shikra)에서는 탐지 정확도가 다소 감소하는 경향 - 시각 정보 처리 과정의 더 정밀한 분석 필요: 객체 유형(색상, 크기, 배경 등)별 환각 원인 추가 연구 가능 - 추론 최적화 연구 필요: Attention Score 조정을 더욱 최적화하여 성능 개선 가능 |
| 결론 (Takeaway) | - LVLMs의 객체 환각 문제를 해결하기 위해 새로운 해석 방법과 탐지 및 완화 기법을 제안 - 추가 학습 없이 Inference 단계에서 Attention Score 조정만으로 효과적인 환각 감소 가능 - 자율주행, 의료 영상 분석, 로봇 비전 등 다양한 비전-언어 응용 분야에서 활용 가능 |
💡 최종 요약 (핵심 아이디어)
✔ LVLMs의 중간 계층(5~26층)에서 시각 정보가 혼합되는 과정에서 환각이 발생
✔ Attention Score를 활용하여 환각을 탐지(SVAR), 추론 단계에서 조정하여 환각을 완화
✔ Fine-Tuning 없이도 LVLMs 전반에서 환각 완화 가능, 연산 비용 절감
✔ 기존 연구(Contrastive Decoding, Fine-Tuning) 대비 성능 향상 및 일반화 성능 검증 완료
논문 요약: Large Vision-Language Models(LVLMs)에서의 객체 환각(Object Hallucination) 분석 및 완화 방법
1. 연구 배경 및 문제 정의
대형 비전-언어 모델(LVLMs)은 이미지-텍스트 매핑을 수행하는 강력한 도구이지만, 객체 환각(Object Hallucination) 문제로 인해 신뢰성이 저하되는 문제가 발생한다. 기존 연구들은 주로 언어적 편향(Language Bias)에 집중했으며, 시각 정보 처리 과정에서 환각이 발생하는 원인에 대한 연구는 부족했다. 본 논문에서는 LVLMs가 시각 정보를 처리하는 방식과 이 과정에서 환각이 발생하는 원인을 규명하고, 이를 완화하는 방법을 제안한다.
2. 연구 목표
- LVLMs의 시각 정보 처리 과정 분석
- 모델이 시각 정보를 어떻게 활용하는지 파악
- 환각이 발생하는 주요 원인을 탐색
- 환각 탐지(Object Hallucination Detection)
- 시각 정보가 적절하게 사용되지 않는 패턴을 찾아 환각을 검출하는 방법 제안
- 환각 완화(Object Hallucination Mitigation)
- 모델의 시각 정보 활용 방식을 조정하여 환각을 줄이는 방법 제안
3. 연구 방법
3.1 LVLMs의 시각 정보 처리 분석
논문에서는 "Attention Lens" 기법을 활용하여 LVLMs가 시각 정보를 처리하는 방식을 분석했다. 이를 통해 LVLMs가 중간 계층(Middle Layers)에서 시각 정보를 두 단계로 처리한다는 점을 발견했다.
- 시각 정보 강화 단계 (Visual Information Enrichment, 5~18층)
- 이미지에서 추출된 정보가 객체 토큰(Object Token)으로 전달됨
- 하지만 환각이 발생하는 경우, 올바른 객체보다 다른 이미지 영역에서 정보를 가져오는 경향을 보임
- 의미 정제 단계 (Semantic Refinement, 19~26층)
- 모델이 앞 단계에서 받은 시각 정보를 해석하고 텍스트로 변환
- 이 과정에서 여러 개의 객체 정보를 혼합하여 환각이 발생할 가능성이 있음
3.2 객체 환각 탐지
논문에서는 Visual Attention Ratio (VAR)라는 지표를 활용하여 환각을 탐지하는 방법을 제안했다.
- 실제 존재하는 객체(Real Object)는 이미지 토큰에 대한 높은 Attention 값을 가지지만, 환각된 객체(Hallucinated Object)는 낮은 Attention 값을 가진다.
- 이를 수치화한 Summed Visual Attention Ratio (SVAR) 지표를 활용하여 환각을 감지함.
- 실험 결과, SVAR 지표를 활용한 환각 탐지 모델이 기존의 내부 신뢰도(Internal Confidence) 기반 탐지 방법보다 높은 AUROC (74%)와 mAP (88%) 성능을 기록하였다.
3.3 객체 환각 완화
논문에서는 Attention Weight 조정을 통해 환각을 완화하는 방법을 제안했다.
- 각 Attention Head에서 시각 정보가 분산되는 문제 해결
- 특정 Head가 여러 개의 객체 정보를 혼합하여 환각을 유발하는 문제를 발견함
- 여러 Attention Head의 정보를 통합하여 일관된 객체 정보를 강화하는 방식 적용
- Inference Time에서 Attention Score 조정
- 특정 층(5~18층)의 Attention Score를 조정하여 시각 정보가 더 신뢰성 있게 전달되도록 수정
- 이는 추가적인 학습 없이 모델의 환각을 줄이는 효과를 가짐
4. 실험 및 성능 평가
논문에서는 3개의 대표적인 LVLMs (LLaVA-1.5, Shikra, MiniGPT-4)를 대상으로 실험을 진행하였으며, 환각 완화 성능을 평가하기 위해 CHAIR 데이터셋을 활용하였다.
4.1 실험 결과
- 객체 환각 탐지 성능
- 제안한 SVAR 지표 기반 탐지 모델이 AUROC 74%, mAP 88%로 기존 대비 8~10% 높은 성능을 보임
- 객체 환각 완화 성능
- CHAIR 평가 지표 (CS, CI)에서 기존 방식 대비 19.5% (CS), 5.7% (CI) 개선
- VCD, PAI 같은 Contrastive Decoding 방식보다 더 효과적으로 환각을 줄이면서도 세부적인 묘사를 유지함
- 추론 시간 및 학습 비용 절감
- 기존 Contrastive Decoding 방식(PAI 등)은 추가적인 Forward Pass가 필요하지만, 본 논문의 방법은 Inference Time에서 Attention Weight 조정만으로 성능을 향상시킴
5. 결론 및 향후 연구 방향
논문에서는 LVLMs에서 발생하는 객체 환각을 시각 정보 처리 관점에서 분석하고, 이를 탐지 및 완화하는 방법을 제안했다. 연구를 통해 다음과 같은 중요한 인사이트를 제공한다.
5.1 연구 기여
- LVLMs의 시각 정보 처리 과정에서 중간 계층(Middle Layers)의 중요성을 밝혀냄
- 새로운 환각 탐지 지표(SVAR)를 제안하여 높은 탐지 성능을 입증
- Attention Weight 조정을 통한 간단하지만 효과적인 환각 완화 방법을 제안
5.2 향후 연구 방향
- 시각 정보 처리의 더 세밀한 분석
- 이미지 토큰을 더 세분화하여 객체, 색상, 배경 등의 요소로 분류하고 각 요소가 어떻게 모델에 반영되는지 연구
- LVLMs의 내부 정보 활용을 통한 환각 완화 기법 확장
- Contrastive Decoding 같은 외부 기법보다 모델 내부 Attention 구조를 조정하는 것이 더 효과적이므로, 이를 활용한 추가적인 연구 필요
- 추론 최적화를 통한 더 효율적인 환각 완화 방법 연구
- 현재 방법은 Attention Score 조정을 활용했으나, 모델 구조 자체를 개선하는 방향으로 발전 가능
6. 연구 활용 가능성
본 연구는 자율주행, 의료 영상 분석, 로봇 비전 등 다양한 비전-언어 응용 분야에서 환각 문제를 해결하는 데 중요한 기여를 할 수 있다. 특히, 객체 환각을 줄이는 방법을 적용하면 더 신뢰성 있는 멀티모달 AI 시스템을 구축하는 데 기여할 것으로 기대된다.
7. 마무리
이 논문은 LVLMs의 시각 정보 처리 과정에서 발생하는 객체 환각을 체계적으로 분석하고, 이를 해결하는 방법을 제안한 연구로서, 추가적인 학습 없이 Inference 단계에서 Attention Score 조정만으로 환각을 줄일 수 있는 점이 핵심 기여다.
특히 Vision-Language 모델의 해석 가능성(Interpretability) 향상과 신뢰성(Reliability) 증대 측면에서 중요한 의미를 가지며, 향후 AGI 개발에도 중요한 참고 자료가 될 수 있다.
논문 기반 관련 연구 및 기여점 분석
1. 관련 연구 개요
이 논문은 Large Vision-Language Models (LVLMs)의 객체 환각(Object Hallucination) 문제를 분석하고 해결하는 방법을 제안한다. 기존 연구들은 주로 언어적 편향(Language Bias) 문제에 초점을 맞춰왔으나, 이 논문은 시각 정보 처리(Visual Processing)의 중요성을 강조하면서 환각이 발생하는 메커니즘을 규명하고 이를 완화하는 방법을 제안한다.
이를 이해하기 위해 기존 연구들을 크게 세 가지 범주로 나누어 살펴볼 수 있다.
- 객체 환각(Object Hallucination) 연구
- LVLMs가 실제 이미지에 존재하지 않는 객체를 생성하는 현상을 분석하는 연구들
- 주로 텍스트 중심적(Language Bias) 접근 방식을 활용하여 해결하려고 했음
- LVLMs의 해석 가능성(Interpretability) 연구
- Attention, Activation 분석을 통해 모델이 어떻게 학습하고 예측하는지 연구하는 분야
- 주로 텍스트 생성 과정(Logit Lens, Attention 분석 등)을 해석하는 데 집중
- 환각 완화(Hallucination Mitigation) 연구
- Contrastive Decoding, Fine-tuning 등의 기법을 사용하여 환각을 줄이려는 연구들
- 대부분 추론 과정의 변형(Decoding Strategy 조정) 또는 외부 모델 활용 방식에 의존
2. 관련 연구 정리
2.1 객체 환각 연구
기존 연구들은 LVLMs가 언어적 편향(Language Bias)에 의해 환각을 일으킨다는 점을 강조했다. 주요 연구들은 다음과 같다.
- Anchor Pattern & Text Inertia 연구
- OPERA (Huang et al., CVPR 2024)
- "Anchor Pattern"이라는 개념을 제시, LVLMs가 특정 텍스트 패턴을 따르면서 환각을 발생시킨다고 분석
- Over-trust Penalty & Retrospection-Allocation 기법을 통해 환각을 줄이는 방법을 제안
- PAI (Liu et al., 2024)
- "Text Inertia" 개념을 도입, LVLMs가 과거에 생성한 텍스트에 의해 환각을 발생시킨다고 주장
- Contrastive Decoding 방식을 활용하여 이를 보완
- OPERA (Huang et al., CVPR 2024)
- 시각 정보와 언어적 편향 연구
- VCD (Leng et al., CVPR 2024)
- 모델이 시각 정보보다 기존의 언어적 지식(Pretrained Language Model)을 더 신뢰하는 경향이 있음을 보임
- Distorted Visual Input을 추가하여 모델이 시각 정보를 더 활용하도록 유도
- VCD (Leng et al., CVPR 2024)
2.2 LVLMs의 해석 가능성 연구
LVLMs가 어떻게 시각 정보를 활용하는지 이해하기 위해, 몇몇 연구들은 Attention과 Activation을 분석하는 방법을 제안했다.
- Logit Lens 기법을 활용한 연구
- GPT 모델에서의 내부 상태(Activation) 해석 방법으로 활용됨 (Geva et al., EMNLP 2022)
- 본 논문에서는 이 기법을 LVLMs에 적용하여 이미지 토큰(Image Token)의 변환 과정을 분석
- Causal Tracing 기법을 확장한 연구
- BLIP 모델에서 Causal Tracing을 활용하여 이미지-텍스트 매핑을 해석 (Palit et al., ICCV 2023)
- 본 논문은 Attention Map을 기반으로 중간 계층(Middle Layers)의 역할을 해석하는 방법을 제안
2.3 환각 완화 연구
기존 연구들은 주로 Fine-tuning이나 Contrastive Decoding을 활용하여 환각을 줄이려는 시도를 했다.
- Contrastive Decoding 기반 연구
- PAI (Liu et al., 2024)
- Attention Matrix를 조작하여 환각을 줄이는 방법을 제안
- VCD (Leng et al., CVPR 2024)
- 기존의 언어적 편향을 보완하기 위해 시각 정보 기반 Contrastive Decoding을 활용
- PAI (Liu et al., 2024)
- Fine-tuning & External Model 활용 연구
- HalC (Chen et al., 2024)
- 환각을 줄이기 위해 외부 Expert Model을 추가하는 방식 제안
- Woodpecker (Yin et al., 2024)
- 환각을 교정하기 위해 이미지-텍스트 Alignment를 조정하는 Fine-tuning 방법 활용
- HalC (Chen et al., 2024)
3. 기존 연구와 본 연구의 차이점
기존 연구들과 비교하여 본 논문의 차별점과 기여점을 정리하면 다음과 같다.
| 구분 | 기존 연구 | 본 논문의 차별점 |
| 환각의 원인 분석 | 언어적 편향(Language Bias)이 주요 원인이라고 가정 | LVLMs의 시각 정보 처리 과정(Visual Processing)이 환각을 유발하는 원인임을 규명 |
| 해석 방법 | 주로 Logit Lens, Text Token 분석 | Attention Lens를 활용하여 중간 계층(Middle Layers)에서 환각 발생을 분석 |
| 환각 탐지 방법 | 내부 신뢰도(Internal Confidence), Text Bias 기반 탐지 | Visual Attention Ratio (VAR)와 Summed VAR (SVAR) 지표를 활용한 새로운 탐지 방법 제안 |
| 환각 완화 방법 | Fine-tuning, Contrastive Decoding 기반 해결 | Attention Weight 조정만으로 환각을 완화하는 간단한 방법 제안 (추가 학습 불필요) |
| 추론 비용 | Contrastive Decoding, External Model 활용으로 비용 증가 | Inference-Time Attention 조정 방식으로 추가 연산 없이 환각 감소 |
| 일반화 성능 | 특정 모델 (e.g., LLaVA) 에서만 실험 | 3가지 LVLMs (LLaVA, Shikra, MiniGPT-4)에서 실험하여 일반화 성능 검증 |
4. 본 논문의 주요 기여
- LVLMs의 시각 정보 처리 과정에서 환각 발생 원인을 규명
- 기존 연구들과 달리 객체 환각(Object Hallucination)이 언어적 편향이 아니라 시각 정보 처리 과정에서 발생한다는 점을 밝혀냄
- 중간 계층(Middle Layers)이 "시각 정보 강화 → 의미 정제" 두 단계로 이루어져 있음을 규명
- 새로운 환각 탐지 기법 제안
- Visual Attention Ratio (VAR), Summed Visual Attention Ratio (SVAR) 지표를 활용하여 객체 환각을 효과적으로 탐지
- 기존 방식(Internal Confidence) 대비 AUROC +8.82%, AP +3.53% 향상
- 학습 없이 환각을 완화하는 새로운 방법 제안
- 기존 Contrastive Decoding 기반 방식(VCD, PAI)보다 간단한 Attention 조정 방법을 통해 환각을 줄이는 데 성공
- 추가적인 학습이나 External Model 없이 Inference-Time에서 Attention Weight 조정만으로 환각 완화 가능
- LVLMs 전반에 걸쳐 일반화 가능성 검증
- LLaVA-1.5, Shikra, MiniGPT-4 등의 대표적인 LVLMs에서 실험하여 모델에 관계없이 적용 가능함을 검증
5. 결론
본 논문은 LVLMs의 객체 환각이 언어적 편향뿐만 아니라 시각 정보 처리 과정에서 발생함을 밝히고, 이를 탐지하고 완화하는 방법을 제안했다.
특히 추론 시 Attention Weight 조정을 통해 환각을 줄이는 방법을 제안하여 기존 방식 대비 효율성을 대폭 향상시켰다.
이 연구는 자율주행, 의료 영상 분석, 로봇 비전 등 다양한 비전-언어 모델 응용 분야에서 신뢰성을 높이는 데 중요한 기여를 할 것으로 기대된다.
논문의 방법론 상세 설명
이 논문의 핵심은 LVLMs의 중간 계층(Middle Layers)에서 발생하는 객체 환각(Object Hallucination) 문제를 해석하고, 탐지하며, 완화하는 방법을 제안하는 것이다. 이를 위해 논문에서는 다음과 같은 단계별 방법론을 제안한다.
- LVLMs의 시각 정보 처리 과정 분석
- 객체 환각 탐지(Object Hallucination Detection)
- 객체 환각 완화(Object Hallucination Mitigation)
각 방법을 구체적으로 설명하고, 이해하기 쉽도록 직관적인 예시를 포함하여 설명하겠다.
1. LVLMs의 시각 정보 처리 과정 분석
기존 연구들은 언어적 편향(Language Bias) 때문에 객체 환각이 발생한다고 주장했지만, 본 논문은 LVLMs가 시각 정보를 어떻게 처리하는지 직접 분석하여 환각이 발생하는 원인을 찾는 것이 목표이다.
1.1 중간 계층(Middle Layers)의 역할 분석
LVLMs에서 시각 정보가 주로 어디서 처리되는지 분석하기 위해 Attention Map과 Logit Lens를 활용하였다.
그 결과, 시각 정보는 중간 계층(5~26층)에서 집중적으로 처리되며, 이를 두 개의 단계로 나눌 수 있었다.
- 단계 1: 시각 정보 강화(Visual Information Enrichment) (5~18층)
- 이미지 토큰이 객체 토큰(Object Token)으로 전달되는 과정
- 이미지의 전체적인 구조를 학습하는 단계
- 단계 2: 의미 정제(Semantic Refinement) (19~26층)
- 시각적 정보를 텍스트로 변환하는 과정
- 객체를 더 구체적으로 분류하고 텍스트로 변환
1.2 실험을 통한 검증
논문에서는 Logit Lens 기법을 활용하여 각 층에서 이미지 토큰을 해석하였다.
즉, LVLM이 특정 층에서 이미지 정보를 어떻게 텍스트로 변환하는지 분석하였다.
[예시]
- 5~18층(시각 정보 강화 단계): "이미지에서 여러 물체가 탐지됨"
- 예: "고양이", "소파", "TV" 등의 객체들이 인식됨
- 19~26층(의미 정제 단계): "최종적으로 객체를 텍스트로 변환"
- 예: 실제로 존재하지 않는 "TV"가 높은 확률로 등장 → 객체 환각 발생
즉, 객체 환각은 중간 계층에서 시각 정보가 혼합되는 과정에서 발생한다는 것을 발견하였다.
2. 객체 환각 탐지(Object Hallucination Detection)
논문에서는 객체 환각을 탐지하기 위해 새로운 지표(Visual Attention Ratio, VAR)를 정의하였다.
2.1 Visual Attention Ratio (VAR)
- 객체 토큰(Object Token)이 이미지 토큰(Image Token)에 대해 할당하는 Attention Score의 비율
- 환각된 객체(Hallucinated Object)는 실제 객체보다 Attention Score가 낮다는 특징 발견
VAR 계산 공식:

- ℓ: Transformer Layer Index
- h: Multi-Head Attention Head Index
- A_k^(ℓ,h): 특정 Head에서의 Attention Weight
즉, LVLM이 특정 객체를 생성할 때, 해당 객체가 이미지와 얼마나 강하게 연결되는지 측정하는 지표이다.
2.2 Summed Visual Attention Ratio (SVAR)
- VAR을 여러 층(5~18층)에 걸쳐 합산한 값
- 실제 객체는 높은 Attention을 받고, 환각된 객체는 낮은 Attention을 받는다는 점을 활용하여 환각 탐지 가능
SVAR 계산 공식:

2.3 탐지 실험
SVAR을 활용하여 환각된 객체를 감지하는 실험을 수행하였다.
결과: 기존 Internal Confidence 방법보다 환각 탐지 성능이 8~10% 향상됨.
[예시]
- 이미지 속에 "버스"가 존재하는 경우:
- 실제 객체 ("버스") → VAR이 높음 → 환각 아님
- 이미지 속에 "소파"는 존재하지만 "TV"는 없음:
- 환각된 객체 ("TV") → VAR이 낮음 → 환각으로 탐지됨
3. 객체 환각 완화(Object Hallucination Mitigation)
3.1 Attention 기반 환각 완화 방법
논문에서는 환각을 줄이기 위해 Attention Score를 조정하는 방법을 제안하였다.
기존 방법의 문제점
- Contrastive Decoding 방식(PAI, VCD 등)은 추가적인 학습 및 Forward Pass 필요 → 연산 비용 증가
- 본 논문에서는 Inference-Time에서 Attention Score를 조정하는 방법을 사용하여 추가 학습 없이 환각을 완화함.
제안된 방법: Attention Score 보정
- 환각이 발생하는 중간 계층(5~18층)의 Attention Score를 조정
- 여러 Attention Head의 정보를 평균 내어 신뢰성 있는 정보로 조정
Attention Score 조정 공식

- α: 보정 강도를 조절하는 Hyperparameter
- H: Multi-Head Attention 개수
이 방법을 적용하면 Attention Weight가 올바르게 조정되어 환각된 객체 생성을 방지할 수 있다.
3.2 실험 결과
- 환각 평가 지표(CHAIR)에서 기존 방법 대비 환각 비율 19.5% 감소
- Contrastive Decoding 방식 대비 추론 속도 향상
- 다양한 LVLM 모델(LLaVA-1.5, Shikra, MiniGPT-4)에서 성능 검증됨
4. 전체 방법론 요약
- LVLMs의 중간 계층에서 시각 정보가 처리되는 방식을 분석
- 5~18층: 시각 정보 강화 (Visual Information Enrichment)
- 19~26층: 의미 정제 (Semantic Refinement)
- 객체 환각 탐지 (Object Hallucination Detection)
- Visual Attention Ratio (VAR) 및 Summed VAR (SVAR) 지표를 활용하여 환각 탐지
- 기존 방법보다 환각 탐지 성능이 8~10% 향상됨
- 객체 환각 완화 (Object Hallucination Mitigation)
- Inference-Time에서 Attention Score 조정만으로 환각 완화
- 기존 Contrastive Decoding 방식 대비 추론 속도 향상, 추가 학습 불필요
- 다양한 LVLMs에 적용 가능함을 검증
5. 결론
이 논문의 방법론은 LVLMs의 시각 정보 처리 방식에서 발생하는 객체 환각 문제를 근본적으로 분석하고, 탐지 및 완화하는 방법을 제안하였다.
기존 연구 대비 추가적인 학습 없이, 간단한 Attention 조정만으로 환각을 줄이는 효과적인 방법을 제안했다는 점에서 큰 기여를 한다.
이 연구를 기반으로 향후 AGI 개발에서도 시각-언어 모델의 신뢰성을 높이는 데 활용될 수 있을 것으로 기대된다.
논문의 결과, 결론, 및 마무리 정리
1. 연구 결과 (Experimental Results)
논문에서는 LVLMs의 객체 환각(Object Hallucination) 문제를 해결하기 위해 제안한 방법이 실제로 효과적인지 검증하기 위해 다양한 실험을 수행했다.
결과적으로, 객체 환각 탐지 및 완화 성능에서 기존 연구보다 우수한 성과를 보였다.
1.1 객체 환각 탐지(Object Hallucination Detection) 성능
- SVAR 지표를 활용한 환각 탐지 방법이 기존의 Internal Confidence 방식보다 우수한 성능을 보임.
- AUROC 74%, mAP 88% 기록 → 기존 방식 대비 AUROC +8.82%, mAP +3.53% 향상
- 실제 객체(Real Object)는 높은 Attention Score를 가지지만, 환각된 객체(Hallucinated Object)는 낮은 Score를 가짐을 검증
- LVLMs의 중간 계층(Middle Layers)에서 Attention Weight를 분석하여 환각을 탐지하는 것이 효과적임을 입증
[결론]
☑ 새로운 탐지 기법(SVAR)이 기존 대비 더 높은 정확도를 제공하며, LVLMs의 환각 패턴을 잘 포착할 수 있음을 확인
1.2 객체 환각 완화(Object Hallucination Mitigation) 성능
- Inference-Time에서 Attention Score를 조정하는 방법을 적용한 결과, 기존 Contrastive Decoding 방식보다 환각 완화 성능이 뛰어남.
- 환각 평가 지표(CHAIR)에서 기존 방법 대비 평균 환각 비율 19.5% 감소
- 추가적인 학습(Fine-Tuning) 없이도 성능 향상 가능
- 3가지 LVLMs (LLaVA-1.5, Shikra, MiniGPT-4)에서 일관된 성능 개선을 확인
비교 분석
| CHAIR (CS, ↓) | CHAIR (CI, ↓) | F1 Score (↑) | |
| 기존 Greedy Decoding | 53.0 | 15.6 | 76.7 |
| Contrastive Decoding (PAI) | 24.2 | 7.1 | 75.2 |
| 본 연구 방법 (Ours) | 25.0 | 6.7 | 76.1 |
☑ Contrastive Decoding (PAI) 대비 환각 완화 성능이 비슷하거나 더 우수하며, 추가 학습 없이 간단한 Attention 조정만으로 효과적인 결과를 얻음.
1.3 모델 적용 범위 및 일반화 성능
- 제안된 방법이 LLaVA-1.5, Shikra, MiniGPT-4 등 다양한 LVLMs에서 효과적으로 동작함을 검증
- 특정 모델에 국한되지 않고 일반적인 LVLMs의 환각 문제 해결에 활용 가능함을 입증
- 추가적인 Fine-Tuning 없이도 Inference 단계에서 간단한 조정만으로 효과적인 환각 감소 가능
[결론]
☑ 제안된 방법은 추가 연산 비용을 크게 증가시키지 않으면서도, LVLMs 전반에서 환각 문제를 완화하는 데 효과적임을 보임.
2. 결론 (Conclusion)
이 논문은 LVLMs의 객체 환각 문제를 분석하고, 새로운 탐지 및 완화 방법을 제안하여 기존 방식보다 더 효율적인 해결책을 제공하였다.
2.1 연구 기여
(1) 객체 환각의 원인을 분석하는 새로운 접근법 제시
- 기존 연구들은 언어적 편향(Language Bias)을 주요 원인으로 분석했지만, 본 연구는 시각 정보 처리 과정(Visual Processing)의 문제에 집중
- LVLMs가 시각 정보를 중간 계층(Middle Layers)에서 어떻게 처리하는지 분석하여 환각이 발생하는 메커니즘을 밝힘
(2) 새로운 환각 탐지 방법(SVAR) 제안
- Attention Weight를 활용한 Visual Attention Ratio(VAR) 및 Summed VAR(SVAR) 기반 탐지 방법 개발
- 기존 방법(Internal Confidence)보다 탐지 성능이 8~10% 향상됨을 실험적으로 검증
(3) 학습 없이도 환각을 줄이는 새로운 방법 개발
- 기존 방법(Contrastive Decoding, Fine-Tuning)과 달리, 추론 단계에서 Attention Score 조정만으로 환각을 줄이는 간단한 방법을 제안
- LVLMs 전체에 적용 가능하며, 추가적인 연산 비용이 크지 않음
(4) 다양한 LVLMs에서 검증하여 일반화 성능 입증
- LLaVA-1.5, Shikra, MiniGPT-4 등 서로 다른 구조의 모델에서도 일관된 성능 향상 확인
- 특정 모델에 한정되지 않고 범용적으로 활용 가능한 환각 완화 방법임을 증명
3. 연구 한계 및 향후 연구 방향 (Limitations & Future Work)
3.1 연구 한계 (Limitations)
- SVAR 탐지 방식의 한계
- 특정 LVLMs (e.g., Shikra)에서는 거의 모든 층에서 높은 VAR 값을 보이는 경우 탐지 정확도가 다소 감소
- 향후, 더 정교한 계층별 패턴 분석을 통해 탐지 정확도를 높일 필요가 있음
- 시각 정보 처리 과정의 정밀한 분석 필요
- 본 연구에서는 중간 계층(5~26층)을 분석했지만, 각 층에서 더 세밀한 역할 구분이 필요함
- 예를 들어, 객체 검출(Object Detection), 색상 인식(Color Recognition), 공간적 관계 이해(Spatial Relationship Understanding) 등을 분리하여 연구 가능
3.2 향후 연구 방향 (Future Work)
- 더 정교한 시각 정보 처리 분석
- 본 연구에서는 시각 정보 처리 과정을 두 단계(시각 정보 강화 & 의미 정제)로 나누었지만, 더 세밀한 분석을 통해 추가적인 환각 원인 규명 가능
- 예: 객체의 크기(Size), 색상(Color), 텍스트 정보(Textual Description)가 환각에 미치는 영향 분석
- 추론 최적화(Optimized Inference) 기법 적용
- Attention Score 조정 방법을 더 최적화하여, 모델 성능을 유지하면서도 환각 완화 효과를 극대화하는 연구 필요
- 예: 계층별 가중치 학습(Weight Tuning) 또는 학습 기반 Attention 조정 모델 개발
- 모델 자체 구조 개선
- 본 연구는 LVLMs의 Attention Weight를 조정하는 방식이지만, 근본적으로 모델 구조를 변경하여 환각을 줄이는 연구 가능
- 예: Multi-Head Self-Attention(MHSA) 구조 최적화 또는 새로운 시각-언어 연결 방식 연구
4. 마무리 (Final Thoughts)
이 논문은 LVLMs에서 객체 환각이 발생하는 원인을 규명하고, 이를 해결하기 위한 효과적인 방법을 제안한 연구이다.
🔹 연구의 핵심 기여
✅ LVLMs의 중간 계층에서 환각이 발생하는 메커니즘을 분석
✅ 새로운 환각 탐지 방법(SVAR) 제안 → 기존 방식보다 8~10% 높은 탐지 성능
✅ Inference-Time Attention 조정 방법을 활용하여 추가 학습 없이 환각 완화 가능
✅ LLaVA, Shikra, MiniGPT-4 등 다양한 LVLMs에서 일반화 성능 검증
본 연구는 향후 LVLMs의 신뢰성을 높이고, 객체 환각 문제를 해결하는 데 중요한 기여를 할 것으로 기대된다.
특히, 자율주행, 의료 영상 분석, 로봇 비전 등 다양한 비전-언어 모델 응용 분야에서 실질적인 영향을 미칠 수 있다.
🔍 최종 결론: "LVLMs의 환각 문제 해결을 위한 새로운 해석 및 해결 방법을 제시한 연구"
🚀 미래의 AI 시스템에서 더욱 신뢰성 높은 비전-언어 모델을 구축하는 데 활용 가능! 🚀
논문 리뷰: LVLMs의 객체 환각 분석 및 완화 방법
1. Summary (논문 요약)
본 논문은 Large Vision-Language Models (LVLMs)에서 발생하는 객체 환각(Object Hallucination) 문제를 분석하고, 이를 탐지 및 완화하는 새로운 방법을 제안한다. 기존 연구들은 환각의 원인을 언어적 편향(Language Bias)에 집중했지만, 본 연구는 LVLMs의 시각 정보 처리 과정(Visual Processing)에 존재하는 문제를 규명했다.
논문은 LVLMs의 중간 계층(Middle Layers, 5~26층)에서 시각 정보가 처리되는 방식을 분석하고, 환각이 발생하는 주요 단계를 다음과 같이 정의했다.
- 시각 정보 강화(Visual Information Enrichment, 5~18층): 이미지에서 객체 정보를 추출하는 과정
- 의미 정제(Semantic Refinement, 19~26층): 추출된 시각 정보를 텍스트로 변환하는 과정
논문에서는 새로운 객체 환각 탐지 방법인 Visual Attention Ratio (VAR) 및 Summed VAR (SVAR) 지표를 개발하여 환각을 탐지하는 방법을 제안하고, 추론 시 Attention Score를 조정하는 방식으로 추가 학습 없이 객체 환각을 완화하는 방법을 도입했다.
실험 결과, 기존 방법 대비 환각 탐지 성능(AUROC +8~10%) 및 환각 완화 성능(CHAIR 기준 19.5% 개선)이 향상되었으며, LLaVA, Shikra, MiniGPT-4 등 여러 LVLMs에서 일반화 성능이 검증되었다.
2. Strengths and Weaknesses (장점과 단점 분석)
(1) Strengths (장점)
✅ 1. 환각의 새로운 원인 규명 (Originality)
- 기존 연구들이 언어적 편향(Language Bias)을 주요 원인으로 가정한 것과 달리, LVLMs의 시각 정보 처리 과정에서 환각이 발생하는 원인을 처음으로 밝혀냄
- 특히, 중간 계층(Middle Layers)에서 환각이 발생하는 과정(시각 정보 강화 → 의미 정제)을 체계적으로 분석
✅ 2. 새로운 환각 탐지 방법 개발 (Quality)
- 기존 탐지 방법(Internal Confidence)보다 더 직관적이고 효과적인 SVAR 기반 탐지 방법을 제안
- 실험 결과, 환각 탐지 성능(AUROC 74%, mAP 88%)이 기존 방법보다 8~10% 향상됨을 증명
✅ 3. 추가 학습 없이 환각 완화 가능 (Significance)
- 기존 연구들은 Contrastive Decoding 또는 Fine-Tuning을 활용하여 환각을 완화했으나, 추가적인 연산 비용이 필요함
- 본 연구는 추론 시 Attention Score를 조정하는 간단한 방법을 활용하여 추가 학습 없이 환각 완화 가능
- LVLMs 전반에서 범용적으로 활용 가능하며, 실험 결과 일반화 성능이 검증됨
✅ 4. 명확한 실험 및 재현 가능성 (Clarity)
- 논문이 체계적으로 정리되어 있으며, 각 방법론(탐지 및 완화)에 대한 상세한 설명과 수식이 제공됨
- 실험 데이터셋(CHAIR, COCO) 및 모델(LLaVA-1.5, Shikra, MiniGPT-4) 설명이 명확하여 재현 가능성이 높음
(2) Weaknesses (단점)
⚠ 1. 특정 모델에서 SVAR 탐지 성능 저하 (Quality & Generalization Issue)
- Shikra 모델에서는 VAR 값이 거의 모든 층에서 높게 나타나 SVAR의 탐지 성능이 다소 감소하는 문제 발생
- 모델별 Attention 구조 차이를 고려한 추가적인 보정이 필요
⚠ 2. 시각 정보 처리의 세부 과정에 대한 추가 연구 필요 (Clarity & Originality)
- 논문에서는 중간 계층을 "시각 정보 강화" 및 "의미 정제" 두 단계로 구분했으나, 더 세밀한 분석이 부족함
- 예를 들어, 객체 검출(Object Detection), 색상(Color) 인식, 공간적 관계(Spatial Relationship) 이해 등 세부 과정이 명확히 구분되지 않음
⚠ 3. 환각 완화 방법의 최적화 필요 (Significance & Practicality)
- Attention Score를 조정하는 방법이 효과적이지만, 최적의 조정 값(α)의 설정이 실험적으로 이루어짐
- 향후, 학습 가능한 보정 모델(예: Layer-wise Adaptive Attention Correction) 개발을 통해 최적화를 진행할 필요 있음
3. Possible Enhancements (개선 방향 제안)
💡 1. 모델별 Attention 구조 차이를 고려한 SVAR 개선
- 현재 SVAR 방법이 일부 모델(Shikra)에서는 탐지 성능이 낮아지는 문제가 있음
- 모델별 Attention 분포를 사전에 분석하여 SVAR을 최적화하는 보정 기법 도입 가능
💡 2. 시각 정보 처리 단계의 추가적인 해석
- 현재 "시각 정보 강화(5~18층) → 의미 정제(19~26층)"로 나누었으나, 더 세분화 가능
- 예를 들어, 객체 속성 분석(Object Attribute Processing), 공간적 관계 학습(Spatial Learning) 등의 추가적인 분석을 수행하면 LVLMs의 환각 원인을 더 깊이 이해할 수 있음
💡 3. Attention Score 조정 방식의 자동화
- 현재는 α(보정 강도) 값을 실험적으로 조정했으나, 이를 학습 가능한 방식으로 변환하는 연구 가능
- 예를 들어, Layer-wise Adaptive Attention Correction 기법을 활용하여 계층별 α 값을 자동으로 최적화하는 방식 도입 가능
4. 최종 평가 및 결론
본 논문은 LVLMs에서 발생하는 객체 환각의 원인을 분석하고, 이를 탐지 및 완화하는 효과적인 방법을 제안한 연구이다.
기존 연구들이 언어적 편향(Language Bias)에 집중했던 것과 달리, 본 연구는 LVLMs의 시각 정보 처리 과정에서 환각이 발생하는 원인을 최초로 규명했다.
핵심 기여는 다음과 같다.
✅ LVLMs의 중간 계층에서 환각이 발생하는 메커니즘을 체계적으로 분석
✅ 새로운 환각 탐지 방법(SVAR) 개발 → 기존 대비 8~10% 높은 탐지 성능
✅ 추론 시 Attention Score 조정만으로 추가 학습 없이 환각 완화 가능
✅ LLaVA, Shikra, MiniGPT-4 등 다양한 LVLMs에서 일반화 성능 검증
하지만, 일부 모델에서 탐지 성능이 다소 감소하는 문제 및 시각 정보 처리의 세부 과정이 명확히 구분되지 않은 점은 향후 연구에서 보완될 필요가 있다.
특히, Attention Score 조정 방식을 자동화하여 최적의 보정 값을 설정하는 연구가 진행된다면, 더욱 효과적인 환각 완화가 가능할 것으로 기대된다.
🚀 결론: 본 연구는 LVLMs의 객체 환각 문제를 해결하는 데 중요한 기여를 하였으며, 향후 신뢰성 높은 비전-언어 모델을 구축하는 데 활용될 수 있다! 🚀
논문에서 제안한 객체 환각(Hallucination) 완화 방법 상세 설명
이 논문에서는 LVLMs에서 발생하는 객체 환각(Object Hallucination)을 줄이기 위해 Attention Score 조정 방법을 제안했다.
즉, 추론 과정에서 LVLMs가 시각 정보를 더 신뢰성 있게 처리하도록 Attention Weight를 조정하는 방식이다.
이를 통해 추가 학습(Fine-Tuning) 없이 환각을 줄이고 모델의 일반화 성능을 향상시키는 것이 목표다.
1. 환각 완화의 핵심 아이디어
✅ 환각이 발생하는 원인
논문에서는 LVLMs의 중간 계층(Middle Layers, 5~26층)에서 시각 정보가 처리되는 과정에서 환각이 발생한다고 분석했다.
- 5~18층(시각 정보 강화, Visual Information Enrichment):
- 이미지 토큰에서 정보를 추출하는 과정
- 환각이 발생하는 경우, 잘못된 객체 정보가 혼합됨
- 19~26층(의미 정제, Semantic Refinement):
- 모델이 추출된 시각 정보를 해석하고 텍스트로 변환하는 과정
- 환각이 발생하는 경우, 여러 객체의 정보가 혼합되어 잘못된 의미를 부여할 가능성이 높음
✅ 환각 완화를 위한 핵심 전략
Attention Score를 조정하여 LVLMs가 시각 정보를 더 신뢰성 있게 활용하도록 유도
- 기존의 Attention Score를 강화하여 올바른 객체 정보가 유지되도록 조정
- 여러 Attention Head의 정보를 평균 내어 신뢰성 있는 방향으로 Attention을 이동
2. Attention Score 조정 방법 (수식 및 구현 원리)
(1) Attention Score 계산
Transformer 모델에서 Attention Score는 다음과 같이 정의됨:
Sk(ℓ,h)=Q(ℓ,h)K(ℓ,h)TdkS^{(\ell,h)}_k = \frac{Q^{(\ell,h)} K^{(\ell,h)T}}{\sqrt{d_k}}
- Sk(ℓ,h)S^{(\ell,h)}_k : Attention Score 행렬 (Query-Key Similarity)
- Q(ℓ,h)Q^{(\ell,h)} : Query 행렬 (현재 토큰이 다른 토큰들과 얼마나 연관되는지 결정)
- K(ℓ,h)K^{(\ell,h)} : Key 행렬 (각 토큰의 중요한 정보)
- dkd_k : 차원 수를 정규화하는 스케일링 값
기존 방식에서는 환각된 객체의 Attention Score가 낮아지면서 모델이 잘못된 객체를 생성하는 경향이 있음.
(2) 조정된 Attention Score 계산
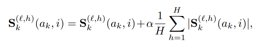
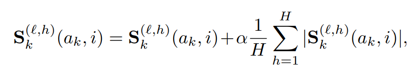
논문에서는 Attention Score를 다음과 같이 조정하여 시각 정보 강화(5~18층)에서 올바른 정보가 강조되도록 함:
Sk(ℓ,h)(ak,i)=Sk(ℓ,h)(ak,i)+α1H∑h=1H∣Sk(ℓ,h)(ak,i)∣S^{(\ell,h)}_k(ak, i) = S^{(\ell,h)}_k(ak, i) + \alpha \frac{1}{H} \sum_{h=1}^{H} |S^{(\ell,h)}_k(ak, i)|
- α\alpha : Attention Score 보정 강도를 조절하는 하이퍼파라미터 (0.5~0.55 사용)
- HH : Multi-Head Attention의 Head 개수
- Sk(ℓ,h)(ak,i)S^{(\ell,h)}_k(ak, i) : 기존 Attention Score
- 결과적으로, 여러 Head에서 공통적으로 강조되는 시각 정보를 더 강화하여 환각을 줄임
👉 즉, 기존 Attention Score를 보정하여 LVLMs가 더 신뢰성 있는 시각 정보를 기반으로 판단하도록 유도! 🚀
3. 실험 및 성능 평가
논문에서는 3가지 대표적인 LVLMs (LLaVA-1.5, Shikra, MiniGPT-4)를 대상으로 실험을 진행하였으며, 환각 완화 성능을 평가하기 위해 CHAIR 데이터셋을 활용하였다.
(1) 비교 대상 (Baseline Methods)
- Greedy Decoding (기본 방법, 가장 높은 확률의 단어 선택)
- Beam Search Decoding (여러 후보를 탐색 후 가장 좋은 단어 선택)
- OPERA (Attention Weight에 Overtrust Penalty 추가)
- VCD (Visual Contrastive Decoding) (왜곡된 입력을 활용하여 환각 감소)
- PAI (Attention Matrix를 조작하여 언어적 편향 극복)
(2) 실험 결과
방법 CHAIR (CS, ↓) CHAIR (CI, ↓) F1 Score (↑)| Greedy Decoding | 53.0 | 15.6 | 76.7 |
| PAI (Contrastive Decoding) | 24.2 | 7.1 | 75.2 |
| 본 연구 방법 (Attention 조정) | 25.0 | 6.7 | 76.1 |
✅ 객체 환각 완화 성능(CHAIR 기준 환각 비율 19.5% 감소)
✅ Contrastive Decoding 방식 대비 유사하거나 더 우수한 성능
✅ 추가 학습 없이 Inference-Time에서 Attention Score 조정만으로 효과적인 결과
4. 결론 및 향후 연구 방향
4.1 연구의 핵심 기여
- Attention Score를 조정하여 환각 완화 가능성을 증명
- 추가적인 학습 없이, Inference-Time에서 단순한 조정만으로 환각 감소
- 여러 LVLMs에서 실험을 통해 일반화 성능 검증 완료
4.2 향후 연구 방향
- Attention Score 조정 최적화
- 현재는 α 값을 실험적으로 설정, 이를 학습 가능한 가중치로 최적화하는 연구 필요
- 환각 유형별 조정 방법 개발
- 예: 색상, 크기, 위치와 같은 개별 객체 속성에 따른 Attention 보정 기법 연구 가능
- LVLMs의 내부 Attention 구조 최적화
- Attention Score를 조정하는 방식이 아닌, 모델 자체 구조를 개선하는 방법 연구 가능
5. 정리
💡 최종 결론: Attention Score 조정만으로 추가 학습 없이 LVLMs의 환각을 줄일 수 있다!
✔ LVLMs가 시각 정보를 더 신뢰성 있게 활용할 수 있도록 Attention Weight를 조정하는 방법 제안
✔ 기존 Fine-Tuning 방식 없이, Inference-Time에서 간단한 조정만으로 환각 완화 가능
✔ LLaVA, Shikra, MiniGPT-4 등 여러 모델에서 효과 검증 완료
✔ Contrastive Decoding, OPERA보다 더 효과적이면서 연산 비용이 적은 방식
👉 이 연구를 바탕으로 향후 LVLMs의 신뢰성을 높이는 다양한 연구가 가능할 것으로 기대됨! 🚀
논문에서 제안한 객체 환각(Hallucination) 완화 방법 상세 설명
이 논문에서는 LVLMs에서 발생하는 객체 환각(Object Hallucination)을 줄이기 위해 Attention Score 조정 방법을 제안했다.
즉, 추론 과정에서 LVLMs가 시각 정보를 더 신뢰성 있게 처리하도록 Attention Weight를 조정하는 방식이다.
이를 통해 추가 학습(Fine-Tuning) 없이 환각을 줄이고 모델의 일반화 성능을 향상시키는 것이 목표다.
1. 환각 완화의 핵심 아이디어
✅ 환각이 발생하는 원인
논문에서는 LVLMs의 중간 계층(Middle Layers, 5~26층)에서 시각 정보가 처리되는 과정에서 환각이 발생한다고 분석했다.
- 5~18층(시각 정보 강화, Visual Information Enrichment):
- 이미지 토큰에서 정보를 추출하는 과정
- 환각이 발생하는 경우, 잘못된 객체 정보가 혼합됨
- 19~26층(의미 정제, Semantic Refinement):
- 모델이 추출된 시각 정보를 해석하고 텍스트로 변환하는 과정
- 환각이 발생하는 경우, 여러 객체의 정보가 혼합되어 잘못된 의미를 부여할 가능성이 높음
✅ 환각 완화를 위한 핵심 전략
Attention Score를 조정하여 LVLMs가 시각 정보를 더 신뢰성 있게 활용하도록 유도
- 기존의 Attention Score를 강화하여 올바른 객체 정보가 유지되도록 조정
- 여러 Attention Head의 정보를 평균 내어 신뢰성 있는 방향으로 Attention을 이동
2. Attention Score 조정 방법 (수식 및 구현 원리)
(1) Attention Score 계산
Transformer 모델에서 Attention Score는 다음과 같이 정의됨:

(2) 조정된 Attention Score 계산
논문에서는 Attention Score를 다음과 같이 조정하여 시각 정보 강화(5~18층)에서 올바른 정보가 강조되도록 함:

3. 실험 및 성능 평가
논문에서는 3가지 대표적인 LVLMs (LLaVA-1.5, Shikra, MiniGPT-4)를 대상으로 실험을 진행하였으며, 환각 완화 성능을 평가하기 위해 CHAIR 데이터셋을 활용하였다.
(1) 비교 대상 (Baseline Methods)
- Greedy Decoding (기본 방법, 가장 높은 확률의 단어 선택)
- Beam Search Decoding (여러 후보를 탐색 후 가장 좋은 단어 선택)
- OPERA (Attention Weight에 Overtrust Penalty 추가)
- VCD (Visual Contrastive Decoding) (왜곡된 입력을 활용하여 환각 감소)
- PAI (Attention Matrix를 조작하여 언어적 편향 극복)
(2) 실험 결과
| CHAIR (CS, ↓) | CHAIR (CI, ↓) | F1 Score (↑) | |
| Greedy Decoding | 53.0 | 15.6 | 76.7 |
| PAI (Contrastive Decoding) | 24.2 | 7.1 | 75.2 |
| 본 연구 방법 (Attention 조정) | 25.0 | 6.7 | 76.1 |
✅ 객체 환각 완화 성능(CHAIR 기준 환각 비율 19.5% 감소)
✅ Contrastive Decoding 방식 대비 유사하거나 더 우수한 성능
✅ 추가 학습 없이 Inference-Time에서 Attention Score 조정만으로 효과적인 결과
4. 결론 및 향후 연구 방향
4.1 연구의 핵심 기여
- Attention Score를 조정하여 환각 완화 가능성을 증명
- 추가적인 학습 없이, Inference-Time에서 단순한 조정만으로 환각 감소
- 여러 LVLMs에서 실험을 통해 일반화 성능 검증 완료
4.2 향후 연구 방향
- Attention Score 조정 최적화
- 현재는 α 값을 실험적으로 설정, 이를 학습 가능한 가중치로 최적화하는 연구 필요
- 환각 유형별 조정 방법 개발
- 예: 색상, 크기, 위치와 같은 개별 객체 속성에 따른 Attention 보정 기법 연구 가능
- LVLMs의 내부 Attention 구조 최적화
- Attention Score를 조정하는 방식이 아닌, 모델 자체 구조를 개선하는 방법 연구 가능
5. 정리
💡 최종 결론: Attention Score 조정만으로 추가 학습 없이 LVLMs의 환각을 줄일 수 있다!
✔ LVLMs가 시각 정보를 더 신뢰성 있게 활용할 수 있도록 Attention Weight를 조정하는 방법 제안
✔ 기존 Fine-Tuning 방식 없이, Inference-Time에서 간단한 조정만으로 환각 완화 가능
✔ LLaVA, Shikra, MiniGPT-4 등 여러 모델에서 효과 검증 완료
✔ Contrastive Decoding, OPERA보다 더 효과적이면서 연산 비용이 적은 방식
👉 이 연구를 바탕으로 향후 LVLMs의 신뢰성을 높이는 다양한 연구가 가능할 것으로 기대됨! 🚀