반응형

validation 2

딥러닝 복습 1 - Linear Reagression, Logistic regression,Neural Network

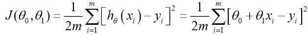
Linear Regression 선형 회귀로 지도학습(Supervised Learning)을 통해 정답을 학습해 입력에 대한 예측을 출력ex) 집값 예측, 키에 따른 몸무게 예측, 주식 등등..Cost function예측 값h(x)과 정답 값(y)에 대한 오차를 Loss function으로 보여주며 값을 감소하는 방향으로 나아간다.학습에 관련된 단어Batch - 전체 데이터 세트Epoch - 전체 데이터 세트를 몇 번 반복하는가Mini batch - Batch를 batch size로 나눈 작은 데이터 뭉치Iteration - 총 반복한 횟수로 Epoch*mini batch개수 이다.Gradient descent 경사 하강법으로 딥러닝이 학습하는 방식이다.Cost function을 미분하여 기울기를 구하고..

인공지능/공부 2024.08.25

딥러닝 개론 1강 - 딥러닝 개요

딥러닝도 전처리는 인간이 할 수 있다. 컴퓨팅 파워만 좋으면 딥러닝이 좋다. 여기서 특성 추출은 사람이 만든 알고리즘이든 사람이 직접 추출하는 feature이다. 성능이 잘 나오지 않으면 데이터 문제인 경우도 있다. 훈련용 테스터용 나눠놓은 것도 가변적이다. 훈련용 데이터가 너무 적으면 훈련용 데이터를 늘려도 된다. 검증 데이터셋 - validation data set = 학습이 잘 되었는지 확인하는 용도이다. 배치 크기 : weight 업데이트 주기 에폭 : 데이터를 몇번 반복하냐 이미지 인식으로 segmentation도 있고 Box를 치는 방식도 있다. 2023.12.15 - [인공지능/공부] - 물체의 위치까지 구분하는 인공지능 -segmentation, odject detection 물체의 위치까..

인공지능/공부 2024.04.16
728x90
728x90