728x90
728x90
기억이 나는 것만 작성..
OX 문제 - 10문제
batch normalization은 활성화 함수 전에 해도 되고, 지나고 해도 된다.- O
오버 피팅을 해결하기 위해서는 히든 레이어를 추가하고, 노드를 늘린다 - X
점별 Convolution을 사용하면 activation map의 사이즈가 그대로이다. - 사이즈에서 채널을 포함 시켜야 할지 아닐지 고민하다가 사이즈는 포함 안될거 같아서 O...

그룹 Convolution에선 GPU를 따로 할당해야한다. - AlexNet이 GPU 각각 할당이 필요하지 그룹 콘볼루션이 무조건 GPU따로 할당은 아닐꺼라 생각해서 X...

backpropagation 손 계산인데 그냥 개념만 알면 풀 수 있도록 나왔음
인풋 주어주고, parameter랑 bias 맞추기

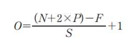
activation map 사이즈 계산 문제 2개

1D Convolution 손 연산

2D Convolution + padding 손 연산

728x90
'인공지능 > 공부' 카테고리의 다른 글
| BahdanauAttention 정리하기 (1) | 2024.04.26 |
|---|---|
| 모두를 위한 머신러닝 중간고사 (0) | 2024.04.25 |
| 딥러닝개론 중간고사 예측 (0) | 2024.04.24 |
| 생성형 인공지능 입문 중간고사 (0) | 2024.04.24 |
| 딥러닝 개론 중간고사 대비 문제 - backpropagation, convolution, optimization (0) | 2024.04.24 |