728x90
728x90
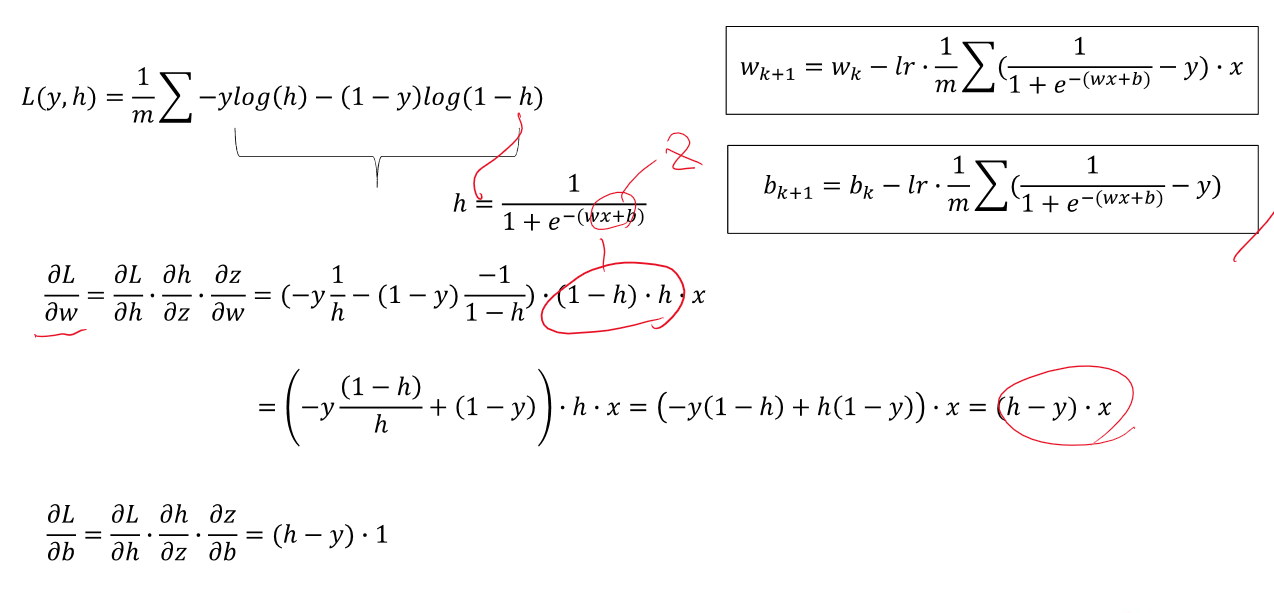
잘 못 한게 있더라고여....

Predicted y는 h(x)값에 따라서 0,1이 나오는게 맞으니까 0.5가 넘으면 1, 0.5가 안 넘으면 0으로 해줬습니다.

2번은 틀린거 없고..
3번에서 개수로 나눠주는게 역시 맞았네요

이거 따라 다시 계산해보면..

끝입니다....
자꾸 더하기 빼기 틀리는게 너무 크네요... 이상한거 틀리고...
728x90
'인공지능 > 공부' 카테고리의 다른 글
| 인공지능과 빅데이터 6주차 2차시 - 심층신경망, 딥러닝 개념 (0) | 2024.04.08 |
|---|---|
| 인공지능과 빅데이터 6주차 1차시 - 심층신경망, 딥러닝 개요 (0) | 2024.04.08 |
| 머신러닝 과제 1 - forward propagation, backward propagation (0) | 2024.04.04 |
| 딥러닝 과제 1 - 순방향 신경망 약물 안전성 예측 pytorch (0) | 2024.04.03 |
| 생성형 인공지능 5주차 - 퀴즈 (0) | 2024.04.02 |